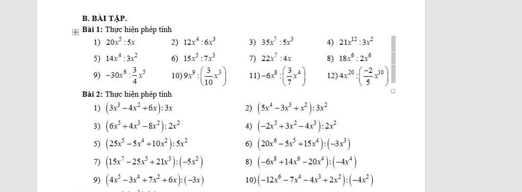
B. BÀI TẬP.
- Bài 1: Thực hiện phép tính
1) 20x³:5x
5) 14x4:3x²
9) -30x62x³
2) 12x*:6x³
6) 15x³:7x³
10)9x³: (³)
Bài 2: Thực hiện phép tính
1) (3x³-4x² +6x): 3x
3) (6x³+4x²³ -8x²): 2x²
5) (25x³-5x4 +10x²): 5x²
7) (15x7 -25x³ +21x³):(-5x²)
9) (4x²-3x² +7x² +6x): (-3x)
3) 35x7:5x³
7) 22x² ...
Xem thêm