

Mng ơi giúp em với huhu, em cảm ơn mng nhiều lắm ạ
Hãy luôn nhớ cảm ơn và vote 5*
nếu câu trả lời hữu ích nhé!
a) (x-125).21=0
x-125 = 0
x = 0+125
x = 125
b) (2x-16):12=-8
2x-16 =-8.12
2x-16 =-96
2x = -96+16
2x =-80
x =-80:2
x = -40
c) (3x-24).(-39)=117
3x-24 = 117:(-39)
3x-24 = -3
3x =-3+24
3x = 21
x =21:3
x =7
d) 123-(2x-3)=-118
2x-3 =123-(-118)
2x-3 =241
2x =241+3
2x = 244
x = 244:2
x = 122
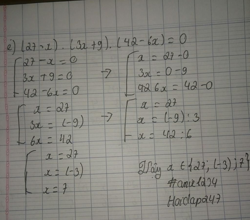
e) (27-x).(3x+9).(42-6x)=0
Th1: 27-x=0
x=27
Th2: 3x+9=0
3x = 0-9
3x = -9
x = -3
Th3: 42-6x=0
6x=42
x=7
Hãy giúp mọi người biết câu trả lời này thế nào?
![]()
$\text{Đáp án + Giải thích các bước giải :}$
`a) (x - 125).21 = 0`
`x - 125 = 0:21`
`x - 125 = 0`
`x = 0 + 125`
`x = 125`
`b) (2x - 16) : 12 = -8`
`2x - 16 = (-8) . 12`
`2x - 16 = (-96)`
`2x = (-96) + 16`
`2x = -80`
`x = (-80) : 2`
`x = (-40)`
`c) (3x - 24) . (-39) = 117`
`3x - 24 = 117 : (-39)`
`3x - 24 = -3`
`3x = (-3) + 24`
`3x = 21`
`x = 21: 3`
`x = 7`
`d) 123 - (2x - 3) = (-118)`
`2x - 3 = 123 - (-118)`
`2x - 3 = 241`
`2x = 241 + 3`
`2x = 244`
`x = 224 : 2`
`x = 122`
`e)` trong hình
Hãy giúp mọi người biết câu trả lời này thế nào?
![]()
Bảng tin
0
0
0
Cảm ơn ạaa