Vui lòng chỉ chọn một câu hỏi
Hoidap247.com Nhanh chóng, chính xác
+
Danh mục mới
0
968
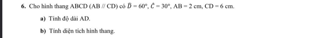
6. Cho hình thang ABCD (AB//CD) có hat D =60^ , hat C =30^ , AB = 2cm , CD = 6cm . a ) Tính độ dài AD. b) Tính diện tích hình thang.
Hãy luôn nhớ cảm ơn và vote 5* nếu câu trả lời hữu ích nhé!
1
92
Đáp án:
Giải thích các bước giải:
bạn xem ảnh mình giải nha
Hãy giúp mọi người biết câu trả lời này thế nào?
Xem thêm:
Bảng tin
Gửi yêu cầu Hủy