

Hãy luôn nhớ cảm ơn và vote 5*
nếu câu trả lời hữu ích nhé!
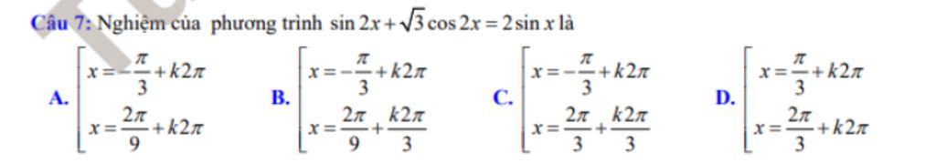
`sin2x+sqrt3cos2x=2sinx`
`<=>` `1/2sin2x+sqrt3/2cos2x=sinx`
`<=>` `sin2xcos \ pi/3+sin \ pi/3cos2x=sinx`
`<=>` `sin(2x+pi/3)=sinx`
`<=>` $\left[\begin{matrix} 2x+\dfrac{\pi}{3}=x+k2\pi \ (k \in \mathbb{Z}) \\ 2x+\dfrac{\pi}{3}=\pi-x+k2\pi \ (k \in \mathbb{Z}) \end{matrix}\right.$
`<=>` $\left[\begin{matrix} x=-\dfrac{\pi}{3}+k2\pi \ (k \in \mathbb{Z}) \\ x = \dfrac{2\pi}{9}+\dfrac{k2\pi}{3} \ (k \in \mathbb{Z}) \end{matrix}\right.$
`=>` Chọn `B`
Hãy giúp mọi người biết câu trả lời này thế nào?
`sin2x+sqrt(3)cos2x=2sinx`
`=>` `sin(2x+pi/3)=sinx`
`=>` $\left[\begin{matrix} 2x+\dfrac{\pi}{3}=x+k2\pi \ (k \in \mathbb{Z}) \\ 2x+\dfrac{\pi}{3}=\pi-x+k2\pi \ (k \in \mathbb{Z}) \end{matrix}\right.$
`=>` $\left[\begin{matrix} x=-\dfrac{\pi}{3}+k2\pi \ (k \in \mathbb{Z}) \\ x = \dfrac{2\pi}{9}+\dfrac{k2\pi}{3} \ (k \in \mathbb{Z}) \end{matrix}\right.$
`->` Chọn `B`
`@Sad2006`
Hãy giúp mọi người biết câu trả lời này thế nào?
Bảng tin