

Hãy luôn nhớ cảm ơn và vote 5*
nếu câu trả lời hữu ích nhé!
Đáp án:
Giải thích các bước giải:
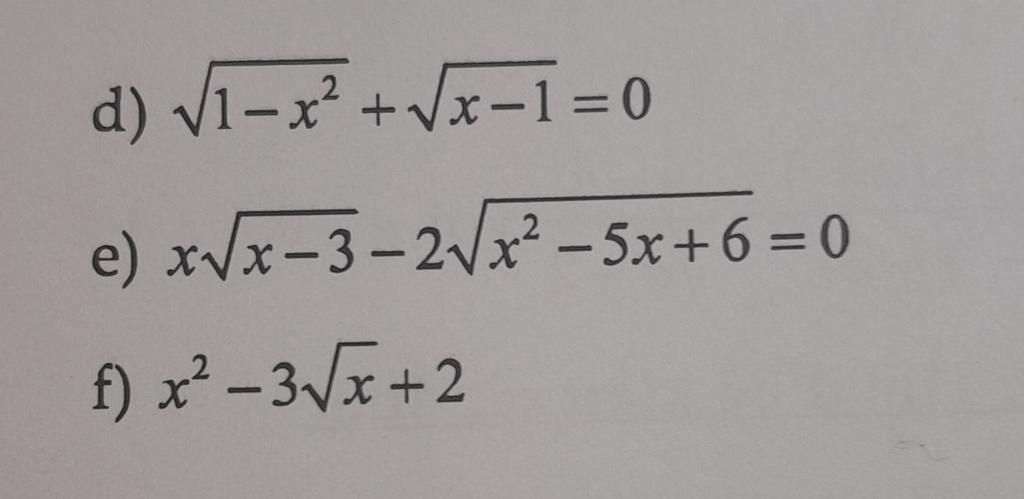
`d)`
ĐK `: 1 - x² ≥ 0` và `x - 1 ≥ 0`
`⇔ 1 ≥ x²` và `x ≥ 1`
`⇔ 1 ≥ x ≥ - 1` và `x ≥ 1`
Vì `x ≤ 1` và `x ≥ 1 ⇒ x = 1`
Thay vào, ta thấy `x=1` là nghiệm phương trình
`⇒ S = { 1 }`
`e)`
ĐK `: x ≥ 3`
`xsqrt(x - 3) - 2sqrt(x² - 5x + 6) = 0`
`⇔ xsqrt(x - 3) - 2sqrt(( x - 3 )( x - 2 )) = 0`
`⇔ sqrt(x - 3)( x - 2sqrt(x - 2) ) = 0`
`⇔ sqrt(x - 3) = 0 hoặc x - 2sqrt(x - 2) = 0`
`⇔ x - 3 = 0 hoặc x - 2 - 2sqrt(x - 2) + 1 + 1 = 0`
`⇔ x = 3 (` nhận `)` hoặc `( sqrt(x - 2) - 1 )² + 1 = 0 (` Vô lí `)`
Vậy `. . .`
`f)` Bổ sung đề
Hãy giúp mọi người biết câu trả lời này thế nào?
Bảng tin