

Hãy luôn nhớ cảm ơn và vote 5*
nếu câu trả lời hữu ích nhé!
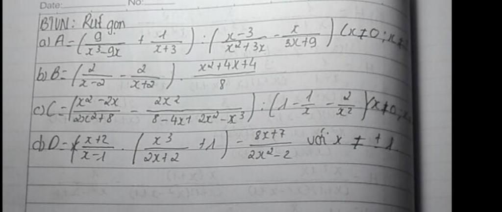
`# Ly`
`+)` Với `x ne 0; x ne +-3,` ta có:
`A= (9/(x^3 - 9x) + 1/(x+3)) : ((x-3)/(x^2 +3x) - x/(3x+9))`
`= [9/(x(x-3)(x+3)) + 1/(x+3)] : [(x-3)/(x(x+3)) - x/(3(x+3))]`
`= (9 + x(x-3))/(x(x-3)(x+3)) : (3(x-3) -x^2)/(3x(x+3))`
`= (9+ x^2 - 3x)/(x(x-3)(x+3)) : (3x -9- x^2)/(3x(x+3))`
`= (x^2 - 3x +9)/(x(x-3)(x+3)) . (3x(x+3))/(-(x^2 - 3x +9))`
`= 3/(-(x-3))`
`= 3/(3-x)`
Hãy giúp mọi người biết câu trả lời này thế nào?

Bảng tin
4194
19439
4587
`@` Giải thích thêm: `x^3 - 9x` `= x(x^2 -9)` `= x(x-3)(x+3)`
588
20067
626
phần c nx bn ưi
588
20067
626
https://hoidap247.com/cau-hoi/6086440
4194
19439
4587
oke