

Hãy luôn nhớ cảm ơn và vote 5*
nếu câu trả lời hữu ích nhé!
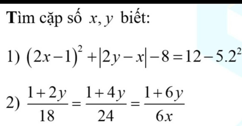
`1, (2x -1)^2 + |2y - x| - 8 = 12 -5.2^2`
`<=> (2x -1)^2 + |2y -x| - 8 = 12 - 20`
`<=> (2x -1)^2 + |2y - x| =-8 + 8`
`<=> (2x -1)^2 + |2y -x| =0`
Vì `(2x -1)^2 \ge 0 AAx`
`|2y -x| \ge 0 AAx,y`
`=> (2x -1)^2 + |2y - x| \ge 0`
Dấu "`=`" xảy ra `<=> {((2x -1)^2 = 0),(|2y - x| = 0):}`
`<=> {(2x -1 =0),(2y -x = 0):}`
`<=> {(x =1/2),(2y =1/2):}`
`<=> {(x =1/2),(y =1/4):}`
Vậy `(x,y) =(1/2,1/4)`
`2,`
Ta có: `(1 + 2y)/(18) = (1 + 4y)/(24)`
`=> 24(1 +2y) =18(1 + 4y)`
`<=>24 + 48y = 18 + 72y`
`<=> 72y - 48y = 24 -18`
`<=> 24y = 6`
`<=> y =1/4`
Lại có: `(1 +2y)/(18) = (1 + 6y)/(6x)`
`<=> (1 +2.1/4)/(18) = (1+ 6. 1/4)/(6x)`
`<=> (1 + 1/2)/(18) = (1 + 3/2)/(6x)`
`<=> 1/(12) = 5/2 : 6x`
`<=> 1/(12) = 5/2 . 1/(6x)`
`<=> 1/(12) = 5/(12x)`
`<=> 12x = 5.12`
`<=> x = 5.12 : 12`
`<=> x =5`
Vậy `x = 5,y =1/4`
`@`Duongg7109612009
Hãy giúp mọi người biết câu trả lời này thế nào?
`(2x-1)^2 + |2y - x| - 8 = 12 - 5 . 2^2`
`<=> (2x-1)^2 + |2y-x| = 12 - 5 . 2^2 + 8`
`<=> (2x-1)^2 + |2y-x| = 0`
`\forall x;y` ta có : `(2x-1)^2 \ge 0 ; |2y-x| \ge 0`
`=> (2x-1)^2 + |2y-x| \ge 0`
Dấu `=` xảy ra `<=> {(2x-1=0),(2y-x=0):} <=> {(x = 0,5),(y = 0,25):}`
Vậy `(x;y)=(0,5 ; 0,25)`
----
`(1+2y)/18 = (1+4y)/24 = (1+6y)/(6x) (x \ne 0)`
`***) (1+2y)/18 = (1+4y)/24`
`=> 24 (1+2y) = 18 (1+4y)`
`=> 24 + 48y = 18 + 72y`
`=> 72y - 48y = 24 - 18`
`=> 24y = 6`
`=> y = 1/4`
`***) (1+4y)/24 = (1+6y)/(6x)`
`=> (1 + 4 . 1/4)/24 = (1 + 6 . 1/4)/(6x)`
`=> 1/12 = (5/2)/(6x)`
`=> 6x = 12 . 5/2`
`=> 6x = 30`
`=>x=5` (thỏa mãn)
Vậy `(x;y) = (5;1/4)`
Hãy giúp mọi người biết câu trả lời này thế nào?
Bảng tin
1045
325
815
bn dương ơi
4698
777
3227
???
1045
325
815
sang giúp tui câu hỏi của tui đc ko
1045
325
815
60 điểm đó
4698
777
3227
đủ người rồimà?