Vui lòng chỉ chọn một câu hỏi
Hoidap247.com Nhanh chóng, chính xác
+
Danh mục mới
0
2020
Hãy luôn nhớ cảm ơn và vote 5* nếu câu trả lời hữu ích nhé!
9060
97837
5316
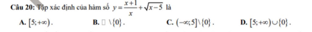
Hàm số xác định
`<=>` `{(x ne 0),(x-5>=0):}`
`<=>` `{(x ne 0),(x >= 5):}`
`<=>` `x >= 5`
`=>` `D = [5;+oo)`
`=>` Chọn `A`
Hãy giúp mọi người biết câu trả lời này thế nào?
Bảng tin
Gửi yêu cầu Hủy