

Hãy luôn nhớ cảm ơn và vote 5*
nếu câu trả lời hữu ích nhé!
Đáp án `+` Giải thích các bước giải:
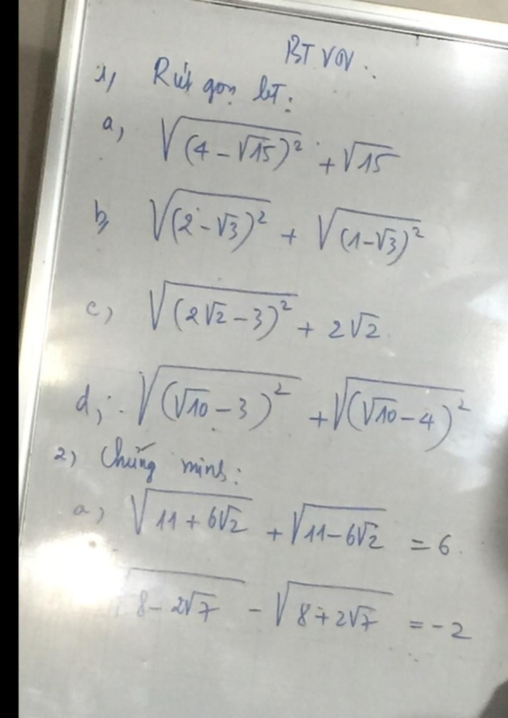
`a.`
`sqrt{(4 - \sqrt{15})^2) + sqrt(15)`
`=|4 - \sqrt{15}| + sqrt(15)`
`=4 - \sqrt{15} + sqrt(15)`
`= 4`
`b.`
`\sqrt{(2 - \sqrt{3})^2} + \sqrt{(1- \sqrt{3})^2}`
`=|2 - \sqrt{3}| + |1- \sqrt{3}|`
`= 2 - \sqrt{3} + 1- \sqrt{3}`
`= 2 - \sqrt{3} + \sqrt{3} - 1`
`= 2 - 1`
`= 1`
`c.`
`\sqrt{(2\sqrt{2) - 3)^2} + 2sqrt{2)`
`=|2\sqrt{2) - 3| + 2sqrt{2)`
`=-2\sqrt{2) + 3 + 2sqrt{2)`
`= 3`
`d.`
`\sqrt{(\sqrt{10) - 3)^2} +\sqrt{(\sqrt{10) - 4)^2} `
`=|\sqrt{10) - 3| +|sqrt{10) - 4| `
`=\sqrt{10) - 3 - sqrt{10) + 4| `
`= - 3 + 4 `
`= 1`
Gt: `\sqrt(A^2) = | A| = {(A -> A >= 0 ),(-A -> A < 0):} `
`2.`
`a.`
`\sqrt{11 +6\sqrt{2}} + \sqrt{11 -6\sqrt{2}} = 6`
Cho vế trái là `\sqrt{11 +6\sqrt{2}} + \sqrt{11 -6\sqrt{2}}`
vế phải là `6`
`\sqrt{11 +6\sqrt{2}} + \sqrt{11 -6\sqrt{2}}`
`=\sqrt{9 +2.3.sqrt{2} + 2} + \sqrt{9 -2.3.sqrt{2} + \sqrt{2}}`
`=\sqrt{3^2 +2.3.sqrt{2} + \sqrt{2}^2} + \sqrt{3^2 -2.3.sqrt{2} + \sqrt{2}^2}`
`=\sqrt{(3\+ \sqrt{2})^2) + \sqrt{(3\- \sqrt{2})^2) `
`=|3\+ \sqrt{2}| + |3\- \sqrt{2}| `
`=3+ \sqrt{2} + 3- \sqrt{2} `
`=3+3 `
`=6`
`=>` vế trái `=` vế phải
Vậy `\sqrt{11 +6\sqrt{2}} + \sqrt{11 -6\sqrt{2}} = 6`
`b.`
`\sqrt{8 -2\sqrt{7}} - \sqrt{8 + 2\sqrt{7}} = -2`
Cho vế trái là `\sqrt{8 -2\sqrt{7}} - \sqrt{8 + 2\sqrt{7}}`
vế phải là `-2`
`\sqrt{8 -2\sqrt{7}} - \sqrt{8 + 2\sqrt{7}}`
`= \sqrt{7 - 2.\sqrt{7}.1 +1 } - \sqrt{7 + 2.\sqrt{7}.1 + 1}`
`= \sqrt{sqrt7^2 - 2.\sqrt{7}. 1 +1^2 } - \sqrt{sqrt7^2 + 2.\sqrt{7}.1 + 1^2}`
`= \sqrt{(\sqrt{7} - 1)^2} - \sqrt{(\sqrt{7} +1 )^2}`
`=|\sqrt{7} - 1| - |\sqrt{7} + 1|`
`= \sqrt{7} - 1 - (\sqrt{7} + 1)`
`= \sqrt{7} - 1 - \sqrt{7} - 1`
`=- 1 - 1`
`=-2`
`=>` vế trái `=` vế phải
Vậy `\sqrt{8 -2\sqrt{7}} - \sqrt{8 + 2\sqrt{7}} = -2`
Hãy giúp mọi người biết câu trả lời này thế nào?
`1,`
`a, \sqrt{(4 - \sqrt{15})^2} + \sqrt{15}`
`=|4 - \sqrt{15}| + \sqrt{15}`
`= 4 - \sqrt{15} + \sqrt{15}`
`= 4`
`b,\sqrt{(2 - \sqrt{3})^2} + \sqrt{(1- \sqrt{3})^2}`
`=|2 - \sqrt{3}| + |1 -\sqrt{3}|`
`= 2 - \sqrt{3} + \sqrt{3} - 1`
`= 1`
`c, \sqrt{(2\sqrt{2} -3)^2} + 2\sqrt{2}`
`= |2\sqrt{2} - 3| + 2\sqrt{2}`
`= 3 - 2\sqrt{2} + 2\sqrt{2}`
`= 3`
`d, \sqrt{(\sqrt{10} - 3)^2} + \sqrt{(\sqrt{10} - 4)^2}`
`=|\sqrt{10} - 3| + |\sqrt{10} - 4|`
`= \sqrt{10} - 3 + 4 - \sqrt{10}`
`= 1`
`2,`
`a,` Ta có: `VT = \sqrt{11 +6\sqrt{2}} + \sqrt{11 -6\sqrt{2}}`
`= \sqrt{9 + 6\sqrt{2} + 2} + \sqrt{9 - 6\sqrt{2} + 2}`
`= \sqrt{(3 + \sqrt{2})^2} + \sqrt{(3 - \sqrt{2})^2}`
`=|3 + \sqrt{2}| + |3 - \sqrt{2}|`
`= 3 + \sqrt{2} + 3 - \sqrt{2}`
`= 6 = VP` (đpcm)
`b,` Ta có:` VT = \sqrt{8 -2\sqrt{7}} - \sqrt{8 + 2\sqrt{7}}`
`= \sqrt{7 - 2\sqrt{7} +1 } - \sqrt{7 + 2\sqrt{7} + 1}`
`= \sqrt{(\sqrt{7} - 1)^2} - \sqrt{(\sqrt{7} +1 )^2}`
`=|\sqrt{7} - 1| - |\sqrt{7} + 1|`
`= \sqrt{7} - 1 - \sqrt{7} -1`
`= -2 =VP` (đpcm)
`@`Duongg7109612009
Hãy giúp mọi người biết câu trả lời này thế nào?

Bảng tin