

Hãy luôn nhớ cảm ơn và vote 5*
nếu câu trả lời hữu ích nhé!
Đáp án + Giải thích các bước giải:
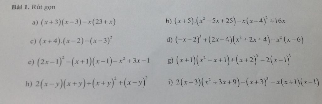
`a)`
`(x+3)(x-3)-x(23+x)`
`= x^2-9-23x-x^2`
`= -23x-9`
`b)`
`(x+5)(x^2-5x+25)-x(x-4)^2 +16x`
`= x^3+5^3 -x(x^2-8x+16)+16x`
`= x^3 +125 -x^3 +8x^2-16x+16x`
`= 8x^2+125`
`c)`
`(x+4)(x-2)-(x-3)^2`
`= x^2 -2x+4x-8-x^2 +6x-9`
`= 8x -17`
`d)`
`(-x-2)^3+(2x-4)(x^2+2x+4)-x^2(x-6)`
`= -x^3 - 6x^2 - 12x-8 + 2(x^3 - 8) -x^3 + 6x^2`
`= -2x^3 -12x -8 +2x^3 -16`
`= -12x - 24`
`e)`
`(2x-1)^2 -(x+1)(x-1)-x^2+3x-1`
`= 4x^2-4x+1-x^2+1 -x^2+3x-1`
`= 2x^2 -x +1`
`g)`
`(x+1)(x^2-x+1)+(x+2)^3 -2(x-1)^3`
`= x^3+1+x^3+6x^2 +12x +8 -2(x^3-3x^2+3x-1)`
`= 2x^3 +6x^2 +12x+9 -2x^3 +6x^2-6x+2`
`= 12x^2 + 6x +11`
`h)`
`2(x-y)(x+y)+(x+y)^2+(x-y)^2`
`= 2(x^2-y^2)+x^2+2xy+y^2+x^2-2xy+y^2`
`= 2x^2 -2y^2 +2x^2 +2y^2`
`=4x^2`
`i)`
`2(x-3)(x^2+3x+9)-(x+3)^3-x(x+1)(x-1)`
`= 2(x^3-27) - x^3 - 9x^2 - 27x - 27 -x(x^2-1)`
`= 2x^3 -54-x^3 -9x^2 -27x-27 -x^3 +x`
`= -9x^2 -26x - 81`
Hãy giúp mọi người biết câu trả lời này thế nào?
![]()
`a)`
`(x+3)(x-3)-x(23+x)`
`=x^2 -9-23x-x^2`
`=-23x-9`
`b)`
`(x+5)(x^2 -5x+25) -x(x-4)^2 +16x`
`=x^3 +125 -x(x^2 -8x+16)+16x`
`=x^3 +125-x^3 +8x^2 -16x+16x`
`=8x^2 +125`
`c)`
`(x+4)(x-2)-(x-3)^2`
`=x^2 +2x-8 -x^2 +6x-9`
`=8x-17`
`d)`
`(-x-2)^3 +(2x-4)(x^2 +2x+4)-x^2 (x-6)`
`=-x^3 -6x^2 -12x-8 +2x^3 -16-x^3 +6x^2`
`=-12x-24`
`e)`
`(2x-1)^2 -(x+1)(x-1)-x^2 +3x-1`
`=4x^2 -4x+1 -x^2 +1 -x^2 +3x-1`
`=2x^2 -x+1`
`g)`
`(x+1)(x^2 -x+1)+(x+2)^3 -2(x-1)^3`
`=x^3 +1+x^3 +6x^2 +12x+8-2(x^3 -3x^2 +3x-1)`
`=2x^3 +6x^2 +12x+9 -2x^3 +6x^2 -6x+2`
`=12x^2 +6x+11`
`h)`
`2(x-y)(x+y)+(x+y)^2 +(x-y)^2`
`=2(x^2 -y^2) +x^2 +2xy+y^2 +x^2 -2xy+y^2`
`=2x^2 -2y^2 +2x^2 +2y^2`
`=4x^2`
`i)`
`2(x-3)(x^2 +3x+9)-(x+3)^3 -x(x+1)(x-1)`
`=2(x^3 -27) -x^3 -9x^2 -27x-27 -x(x^2 -1)`
`=2x^3 - 54 -x^3 -9x^2 -27x-27 -x^3 +x`
`=-9x^2 -26x-81`.
Hãy giúp mọi người biết câu trả lời này thế nào?
Bảng tin