Vui lòng chỉ chọn một câu hỏi
Hoidap247.com Nhanh chóng, chính xác
+
Danh mục mới
3
746
5
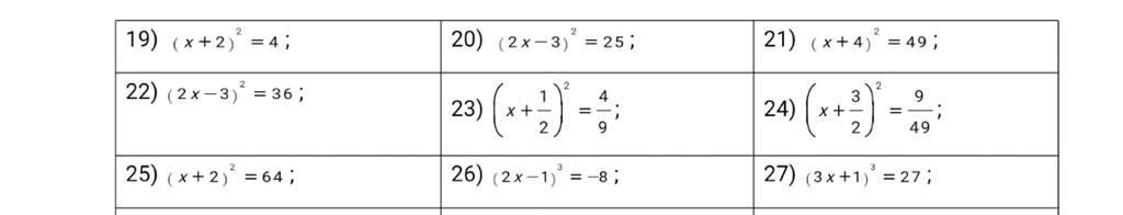
Mọi người ơi giúp mk với ak mk thank
Bảng tin
Gửi yêu cầu Hủy