Vui lòng chỉ chọn một câu hỏi
Hoidap247.com Nhanh chóng, chính xác
+
Danh mục mới
0
2420
Hãy luôn nhớ cảm ơn và vote 5* nếu câu trả lời hữu ích nhé!
6
139
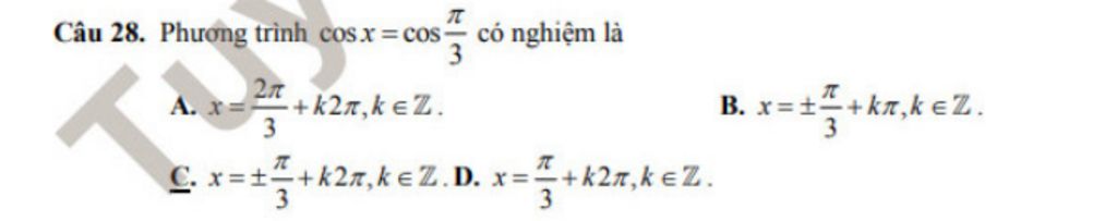
Đáp án:C
Giải thích các bước giải:
Hãy giúp mọi người biết câu trả lời này thế nào?
9060
97837
5316
`cosx=cos \ pi/3` `<=>` `x=+-pi/3+k2pi` `(k in ZZ)`
`=>` Chọn `C`
Bảng tin
Gửi yêu cầu Hủy