Đăng nhập để hỏi chi tiết


Hãy luôn nhớ cảm ơn và vote 5*
nếu câu trả lời hữu ích nhé!
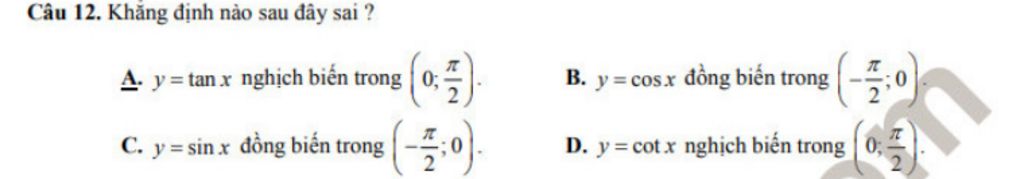
Ta có: TXĐ của hàm số `y=tanx` là `D=RR\\{pi/2+kpi, k in ZZ}` `=>` `(0;pi/2) subset D`
Theo lý thuyết, hàm số `y=tanx` luôn đồng biến trên TXĐ
`=>` Hàm số `y=tanx` đồng biến trên `(0;pi/2)`
`=>` Khẳng định ở đáp án `A` sai
`=>` Chọn `A`
Hãy giúp mọi người biết câu trả lời này thế nào?
Bảng tin
1897
533
1648
cụ cày ghê
5756
1287
3424
Mỏi lưng lắm r
1897
533
1648
cụ gánh còng lưng
5756
1287
3424
Phụ cụ tí
1897
533
1648
đang phụ cụ mà :)
5756
1287
3424
Ok thks nhé