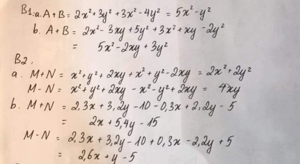
Bài 1: Tính tổng 2 đa thức
a)A=2x^2 + 3y^2 và B=3x^2 - 4y^2
b)A=2x^2 - 3xy + 5xy^2 và B=3x^2 +xy - 2y^2
Bài 2: Tính tổng và hiệu của hai đa thức M và N với:
a) M= x^2 +y^2+2xy và N= x^2 + y^2-2xy
b)M=2,3x+3,2y - 10 và N= -0,3x + 2,2y -5
Bài 3: Tính tổng A+B và hiệu A-B của hai đa thức A,B trong các trg hợp sau:
a) A=2x+3y và B=2x-y
b) A=x^2 + x^3-xy^2+2 và B=x^3 + x^2y-7
c) A=2x^2 -yz-z^2 +1 và B=4yz + 3x^2 +z^2 -2
d) A=X^2y+ 3/2xy^3 - 11/2x^3y^2+ x^3 và B=1/2xy^3-x^2y 9/2x^3y^2
0
553
0
làm nốt giúp mình bài 3 đk
83
3081
71
vâng cho mình xin ctlhn nhé :))