Vui lòng chỉ chọn một câu hỏi
Hoidap247.com Nhanh chóng, chính xác
+
Danh mục mới
0
2040
Hãy luôn nhớ cảm ơn và vote 5* nếu câu trả lời hữu ích nhé!
1
60
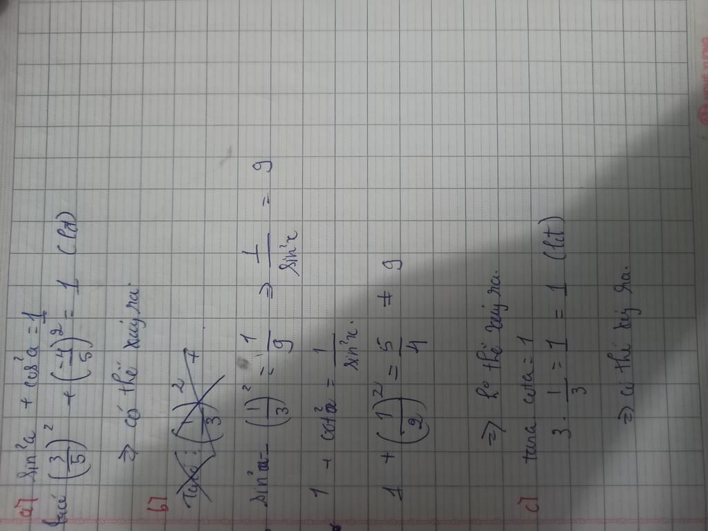
Đáp án:
a) có thể xảy ra .
b) không thể xảy ra
C) có thể xảy ra
Giải thích các bước giải:
A) giải thích ở hình ảnh
B) Thay vào công thức
C) Giải thích ở hình ảnh
Hãy giúp mọi người biết câu trả lời này thế nào?
Bảng tin
Gửi yêu cầu Hủy