

Hãy luôn nhớ cảm ơn và vote 5*
nếu câu trả lời hữu ích nhé!
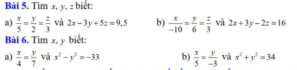
`a)x/5 = y/2 = z/3` và `2x-3y+5z=9,5`
`=>(2x)/10 = (3y)/6 = (5z)/15`
Áp dụng tính chất của dãy tỉ số bằng nhau, ta có
`(2x)/10 = (3y)/6 = (5z)/15=(2x-3y+5z)/(10-6+15) = (9,5)/(19) = 1/2`
`=>x=1/2*5=5/2 ; y=1/2*2 = 1; z=1/2*3=3/2`
Vậy `x=5/2 ; y=1 ; z=3/2`
`b)x/(-10) = y/6 = z/3` và `2x+3y-2z=16`
`=>(2x)/(-20) = (3y)/18 = (2z)/(6)`
Áp dụng tính chất của dãy tỉ số bằng nhau, ta có
`(2x)/(-20) = (3y)/18 = (2z)/(6)=(2x+3y-2x)/(-20+18-6) = 16/(-8) = -2`
`=>x=-2*(-10) = 20 ; y=-2*6=-12;z=-2*3=-6`
Vậy `x=20 ; y=-12;z=-6`
`6)`
`a)x/4 = y/7` và `x^2 - y^2 = -33`
`=> (x^2)/(4^2) = (y^2)/(7^2) = (x^2)/(16) = (y^2)/(49)`
Áp dụng tính chất của dãy tỉ số bằng nhau, ta có
`(x^2)/(16) = (y^2)/(49) = (x^2-y^2)/(16-49) = (-33)/(-33)=1`
`=>x=1*4 = 4; y=1*7=7`
Vậy `x=4;y=7` hay `x=-4;y=-7`
`b)x/5=y/(-3)` và `x^2+y^2=34`
`=>(x^2)/(5^2) =(y^2)/(-3^2) = (x^2)/25 = (y^2)/9`
Áp dụng tính chất của dãy tỉ số bằng nhau, ta có
`(x^2)/25 = (y^2)/9=(x^2+y^2)/(25+9) = 34/34=1`
`=>x=1*5=5 ; y=1*(-3)=-3`
Vậy `x=5;y=-3` hay `x=-5;y=3`
Hãy giúp mọi người biết câu trả lời này thế nào?

`5.`
`a) x/5 = y/2 = z/3` và `2x - 3y + 5z = 9,5`
Áp dụng tính chất dãy tỉ số bằng nhau ta được:
`x/5 = y/2 = z/3 = (2x - 3y + 5z)/(2.5- 3.2 + 5.3) = (9,5)/(19) = 1/2`
`=> x = 1/2 . 5 = 2,5`
`=> y = 1/2 .2 = 1`
`=> z = 1/2 . 3 = 1,5`
`b)`
`x/(-10) = y/6 = z/3` và `2x + 3y - 2z = 16`
Áp dụng tính chất dãy tỉ số bằng nhau ta được:
`x/(-10) = y/6 = z/3 = (2x + 3y - 2z)/(2. (-10) + 3 .6 - 2. 3) = 16/(-8) = -2`
`=> x = -2 . (-10) = 20`
`=> y = -2 . 6 = -12`
`=> z = -2 . 3= -6`
`6.`
`a) x/4 = y/7` và `x^2 - y^2 = -33`
`=> (x^2)/16 = (y^2)/49`
Áp dụng tính chất dãy tỉ số bằng nhau ta được:
`(x^2)/16 = (y^2)/49 = (x^2 - y^2)/(16 - 49) = (-33)/(-33) = 1`
`=> x^2= 16 => x = 4`
`=> y^2 = 49 => y =7`
`b) x/5 = y/(-3)` và `x^2 + y^2 = 34`
`=> (x^2)/25 = (y^2)/9`
Áp dụng tính chất dãy tỉ số bằng nhau ta được:
`(x^2)/25 = (y^2)/9 = (x^2 +y^2)/(25+9) = 34/34 = 1`
`=> x^2 = 25 => x = ±5`
`=> y^2 = 9 => x= ±3`
$@Thwantobethebest$
Hãy giúp mọi người biết câu trả lời này thế nào?

Bảng tin