Đăng nhập để hỏi chi tiết


Hãy luôn nhớ cảm ơn và vote 5*
nếu câu trả lời hữu ích nhé!
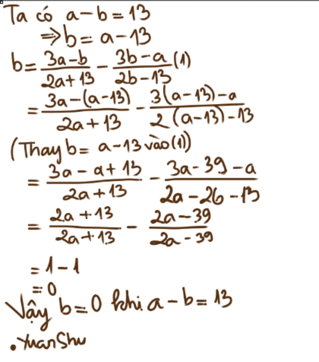
`B=(3a-b)/(2a+13)-(3b-a)/(2b-13)`
Thay `a-b=13` vào biểu thức `B`, ta được :
`B=(3a-b)/(2a+a-b)-(3b-a)/(2b-(a-b))`
`=(3a-b)/(2a+a-b)-(3b-a)/(2b-a+b)`
`=(3a-b)/(3a-b)-(3b-a)/(3b-a)`
`=1-1=0`
Vậy `B=0` khi `a-b=13`
Hãy giúp mọi người biết câu trả lời này thế nào?
![]()
Bảng tin