Vui lòng chỉ chọn một câu hỏi
Hoidap247.com Nhanh chóng, chính xác
+
Danh mục mới
0
20
Hãy luôn nhớ cảm ơn và vote 5* nếu câu trả lời hữu ích nhé!
1095
19601
1092
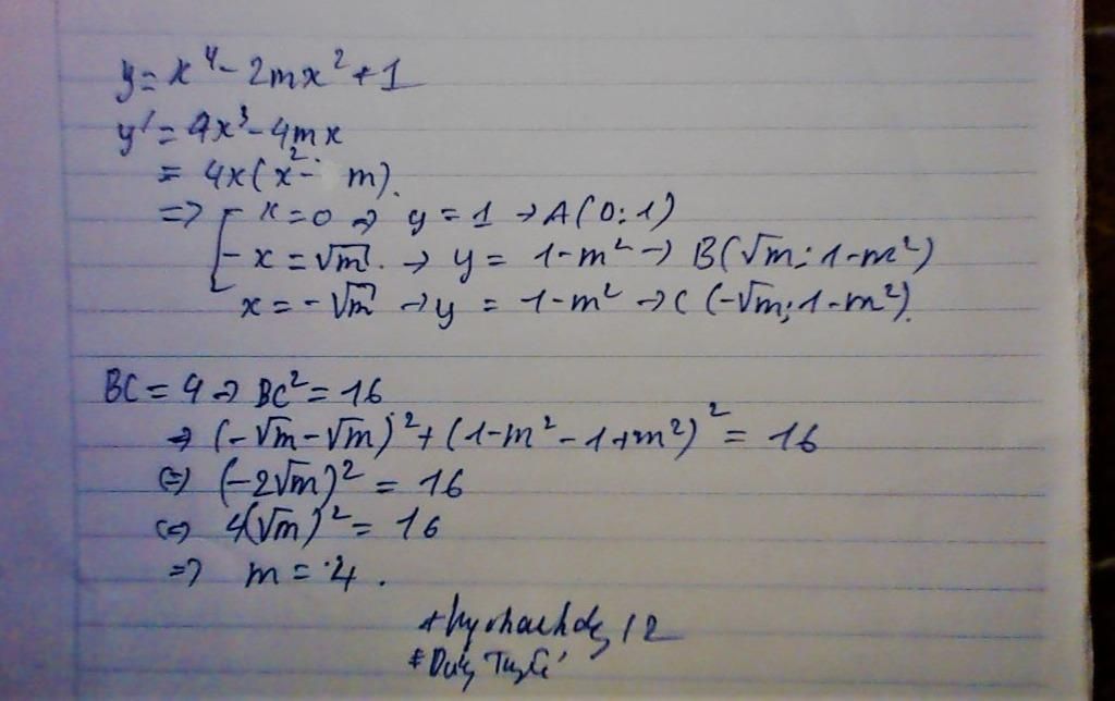
Đáp án:
`B:m=4`
Giải thích các bước giải:
Bạn xem hình
Hãy giúp mọi người biết câu trả lời này thế nào?
=))) acc ế vãi, lười ghê á
1817
8075
3118
=))
Chúc mừng anh tròn một năm lập acc nì 🥳🥳🥳
^^ coi bộ cũng tham gia cái cộng đồng này đc 3 năm rồi nhỉ
7656
114363
6850
khuya rồi a vẫn on à
=)) đang sớm mà
comeback chơi chơi i
Lớp 12 rồi á, bận lắm, rảnh đc tí là lo xem phim rồi. Hè mà tuần 9 buổi, vào năm học mới là full luôn 🐸
Bảng tin
Gửi yêu cầu Hủy
1095
19601
1092
=))) acc ế vãi, lười ghê á
1817
8075
3118
=))
1817
8075
3118
Chúc mừng anh tròn một năm lập acc nì 🥳🥳🥳
1095
19601
1092
^^ coi bộ cũng tham gia cái cộng đồng này đc 3 năm rồi nhỉ
7656
114363
6850
khuya rồi a vẫn on à
1095
19601
1092
=)) đang sớm mà
7656
114363
6850
comeback chơi chơi i
1095
19601
1092
Lớp 12 rồi á, bận lắm, rảnh đc tí là lo xem phim rồi. Hè mà tuần 9 buổi, vào năm học mới là full luôn 🐸