

Hãy luôn nhớ cảm ơn và vote 5*
nếu câu trả lời hữu ích nhé!
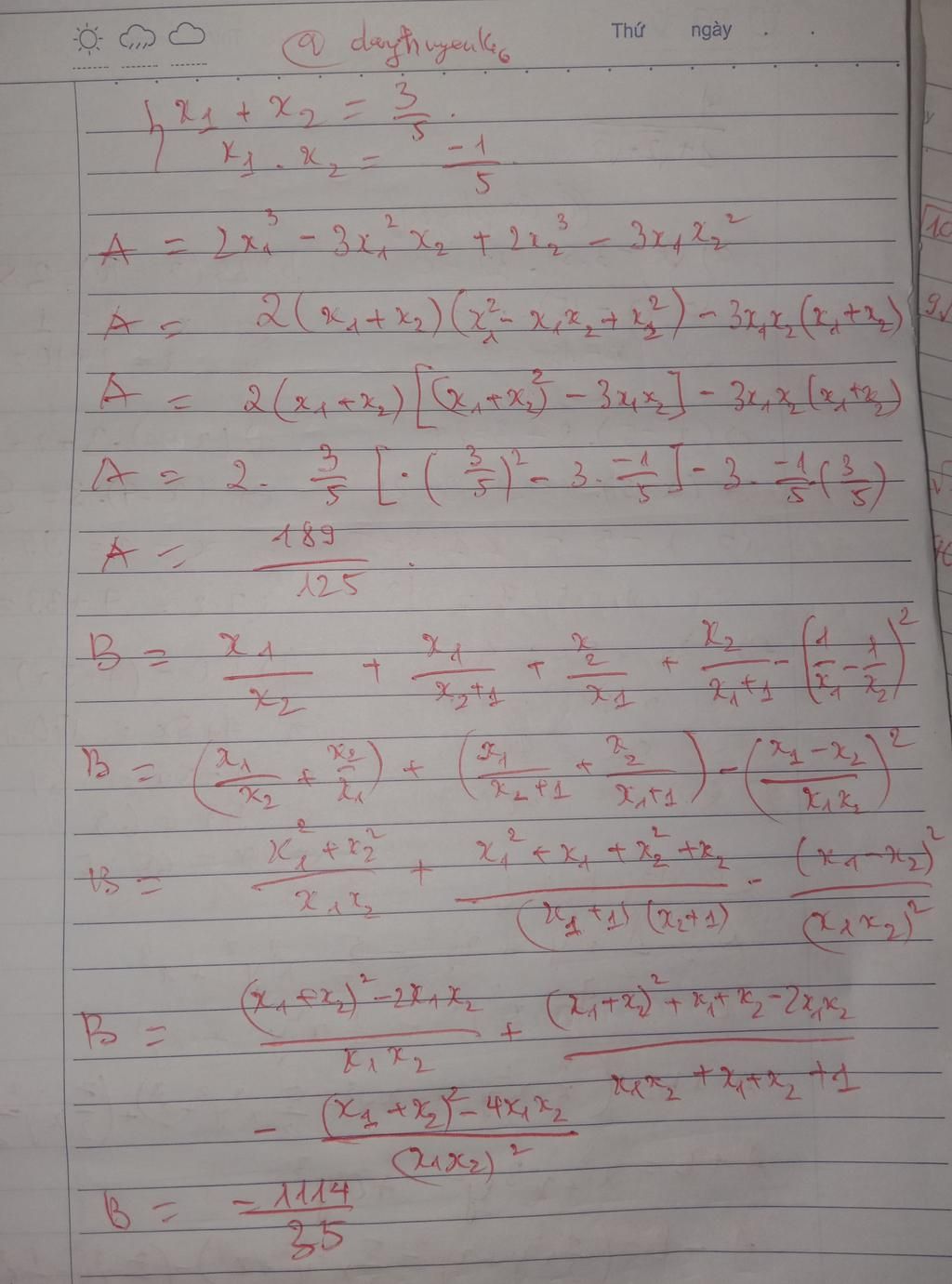
`5x^2 - 3x - 1 =0 `
Theo hệ thức Vi - ét :
`{(x_1 + x_2 = 3/5),(x_1 x_2 = -1/5):}`
`A = 2x_1^3 - 3x_1^2 x_2 + 2x_2^3 - 3x_1 x_2^2`
`= 2(x_1^3 + x_2^3) - 3x_1 x_2 (x_1 + x_2)`
`= 2[(x_1 + x_2)^3 - 3x_1 x_2 (x_1 + x_2)] - 3x_1 x_2 (x_1 + x_2)`
`= 2 . [(3/5)^3 - 3 . (-1/5) . 3/5] - 3 (-1/5) . 3/5`
`= 189/125`
================================
`B = (x_1)/(x_2) + (x_1)/(x_2 + 1) + (x_2)/(x_1) + (x_2)/(x_1 + 1) - (1/(x_1) - 1/(x_2))^2`
`= (x_1^2 + x_2^2)/(x_1 x_2) + (x_1^2 + x_1 + x_2^2 + x_2)/(x_1 x_2 + x_1 + x_2 + 1) - ((x_2 - x_1)^2)/((x_1 x_2)^2)`
`= ( (x_1 + x_2)^2 - 2x_1 x_2)/(x_1 x_2) + ((x_1 + x_2)^2 - 2x_1 x_2 + x_1 + x_2)/(x_1 x_2 + x_1 + x_2 + 1) - ((x_1 + x_2)^2 - 4x_1 x_2)/((x_1 x_2)^2)`
`= -1114/35`
=================================
`C = (3x_1^2 + 5x_1 x_2 + 3x_2^2)/(4x_1 x_2^2 + 4x_1^2 x_2)`
`= (3(x_1 + x_2)^2 - 6x_1 x_2 + 5x_1 x_2)/(4x_1 x_2 (x_1 + x_2))`
`= (3(x_1 + x_2)^2 - x_1 x_2)/(4x_1 x_2 (x_1 + x_2))`
`= -8/3`
Hãy giúp mọi người biết câu trả lời này thế nào?

Bảng tin
6
4158
3
bạn ơi
6
4158
3
https://hoidap247.com/cau-hoi/6036713 Giúp mình câu này với được không ạ
1628
110
1296
dạ ?
1628
110
1296
đợi mình tí coi thử nhé
6
4158
3
dạ vâng ạ!