

Hãy luôn nhớ cảm ơn và vote 5*
nếu câu trả lời hữu ích nhé!
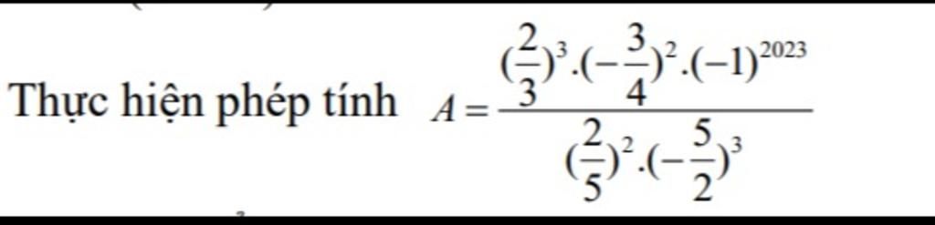
`A = [(2/3)^3 . (-3/4)^2 . (-1)^2023]/[(2/5)^2 . (-5/2)^3`
`= [(2/3 . 3/4)^2 . 2/3 . (-1)]/[-(2/5 . 5/2)^2 . 5/2]`
`= [(1/2)^2 . 2/3 . 1]/[1^2 . 5/2]`
`= 1/4 . 2/3 : 5/2`
`= 1/6 . 2/5`
`= 1/15`
Hãy giúp mọi người biết câu trả lời này thế nào?
Bảng tin