Đăng nhập để hỏi chi tiết


Hãy luôn nhớ cảm ơn và vote 5*
nếu câu trả lời hữu ích nhé!
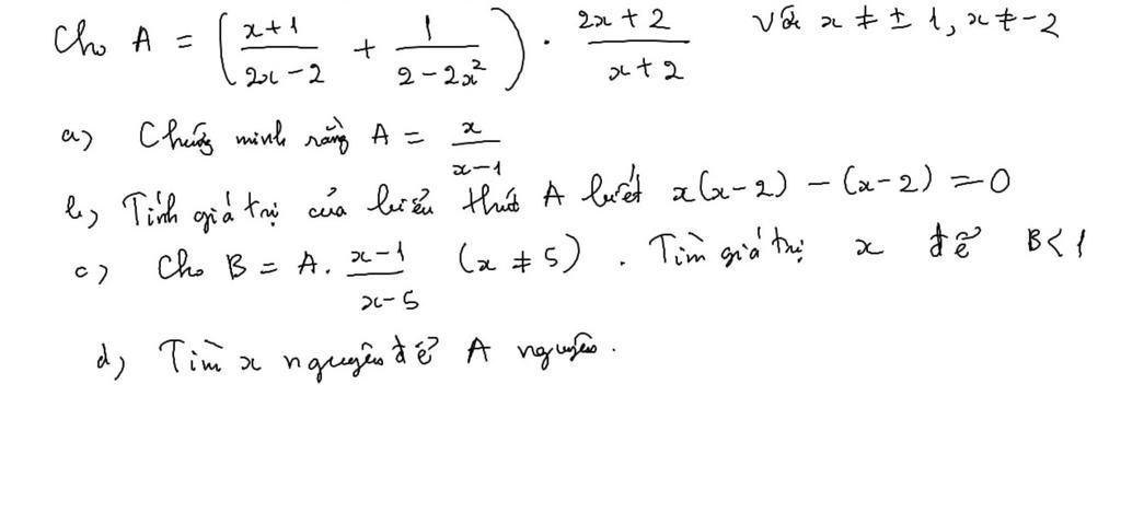
`d)` Ta có :
`A= x/( x - 1) = 1 + 1/( x - 1 )`
Để `A` nguyên thì `1/( x - 1 )` nguyên
`=> x - 1 in Ư ( 1 )`
`=> x - 1 in { -1 ; 1 }`
`=> x in { 0 ; 2 }`
Vậy với `x in { 0 ; 2}` thì `A` nguyên
Hãy giúp mọi người biết câu trả lời này thế nào?
![]()
Bảng tin