

Hãy luôn nhớ cảm ơn và vote 5*
nếu câu trả lời hữu ích nhé!
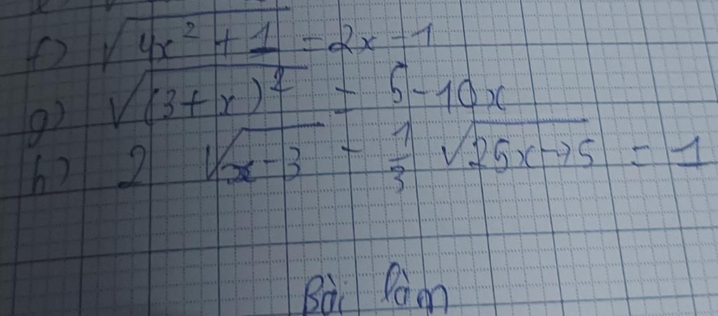
`f, \sqrt{4x^2 + 1} = 2x - 1`
`=> (\sqrt{4x^2 + 1})^2= (2x- 1)^2`
`<=> 4x^2 + 1 = 4x^2 - 4x + 1`
`<=> -4x = 4x^2 + 1 - 4x^2 -1`
`<=> -4x = 0`
`<=> x= 0`
Vậy `S= {0}` là tập nghiệm của pt
`g, \sqrt{(3 + x)^2} = 5 - 10x` (ĐK:`x \le 1/2`)
`<=> |3 + x| = 5 - 10x`
`<=> 3 + x = 5 - 10x` hoặc `3 + x = 10x - 5`
`<=> x + 10x= 5 - 3` hoặc `10x - x =3 + 5`
`<=> 11x = 2` hoặc `9x = 8`
`<=> x = 2/(11)` (tm) hoặc `x = 8/9` (ko tm)
Vậy `S = {2/(11)}` là tập nghiệm của pt
`h, 2\sqrt{x - 3} - 1/3\sqrt{25x - 75} = 1` (ĐK:`x \ge 3`)
`<=> 2\sqrt{x - 3} - 1/3\sqrt{25(x - 3)} = 1`
`<=> 2\sqrt{x - 3} - 5/3\sqrt{x -3} = 1`
`<=> 1/3\sqrt{x - 3} =1`
`<=> \sqrt{x - 3} = 3`
`<=> x - 3= 9`
`<=> x= 12` (tm)
Vậy `S= {12}` là tập nghiệm của pt
`@`Duongg7109612009
Hãy giúp mọi người biết câu trả lời này thế nào?
![]()
Đáp án:
Giải thích các bước giải:
`f)`
`sqrt(4x² + 1) = 2x - 1 ⇔ 4x² + 1 = ( 2x - 1 )²`
`⇔ 4x² + 1 = 4x² - 4x + 1 ⇔ 0 = - 4x ⇔ x = 0`
`⇒ S = { 0 }`
`g)`
ĐK `: 5 - 10x ≥ 0 ⇔ x ≤ 1/2`
`sqrt(( 3 + x )²) = 5 - 10x`
`⇔ | 3 + x | = 5 - 10x ( 1 )`
+ $TH_1$ `: 1/2 ≥ x ≥ -3`
`(1) ⇔ x + 3 = 5 - 10x ⇔ 11x = 2 ⇔ x = 2/(11)` ( nhận )
+ $TH_2$ `: x < - 3`
`(1) ⇔ x + 3 = 10x - 5 ⇔ 9x = 8 ⇔ x = 8/9` ( loại )
`⇒ S = { 2/(11) }`
`h)`
ĐK `: x ≥ 3`
`2sqrt(x - 3) - 1/3sqrt(25x - 75) = 1 ⇔ 2sqrt(x - 3) - 5/3sqrt(x - 3) = 1`
`⇔ 1/3sqrt(x - 3) = 1 ⇔ sqrt(x - 3) = 3 ⇔ x - 3 = 9`
`⇔ x = 12` ( nhận )
`⇒ S = { 12 }`
Hãy giúp mọi người biết câu trả lời này thế nào?
Bảng tin