

Hãy luôn nhớ cảm ơn và vote 5*
nếu câu trả lời hữu ích nhé!
Đáp án:
`e)` `x=-8/5`
`f)` `x=1/5`
`g)` `x=-9/19`
`h)` `x = -12/17`
Giải thích các bước giải:
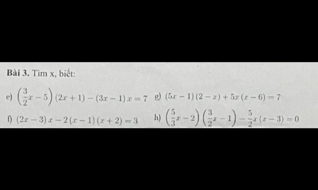
`e)` `(3/2x-5)(2x+1)-(3x-1)x = 7`
`<=> (3x^2+3/2x-10x-5)-(3x^2-x) = 7`
`<=> 3x^2-17/2x-5-3x^2+x = 7`
`<=> (3x^2-3x^2)+(-17/2x+x) = 5+7`
`<=> -15/2x = 12`
`<=> x = -8/5`
Vậy `x=-8/5`
`f)` `(2x-3)x-2(x-1)(x+2) = 3`
`<=> (2x^2-3x)-2(x^2+2x-x-2) = 3`
`<=> 2x^2-3x-2(x^2+x-2) = 3`
`<=> 2x^2-3x-2x^2-2x+4 = 3`
`<=> (2x^2-2x^2)+(-3x-2x) = -4+3`
`<=> -5x = -1`
`<=> x = 1/5`
Vậy `x=1/5`
`g)` `(5x-1)(2-x)+5x(x-6) = 7`
`<=> (10x-5x^2-2+x)+(5x^2-30x) = 7`
`<=> -5x^2+11x-2+5x^2-30x = 7`
`<=> (-5x^2+5x^2)+(11x-30x) = 2+7`
`<=> -19x = 9`
`<=> x = -9/19`
Vậy `x=-9/19`
`h)` `(5/3x-2)(3/2x-1)-5/2x(x-3) = 0`
`<=> (5/2x^2-5/3x-3x+2)-(5/2x^2-15/2x) = 0`
`<=> 5/2x^2-14/3x+2-5/2x^2+15/2x = 0`
`<=> (5/2x^2-5/2x^2)+(-14/3x+15/2x)+2 = 0`
`<=> 17/6 = -2`
`<=> x = -12/17`
Vậy `x = -12/17`
Hãy giúp mọi người biết câu trả lời này thế nào?
Bảng tin
0
0
0
https://hoidap247.com/cau-hoi/6029062
0
0
0
lm giup e vs ạ