

Hãy luôn nhớ cảm ơn và vote 5*
nếu câu trả lời hữu ích nhé!
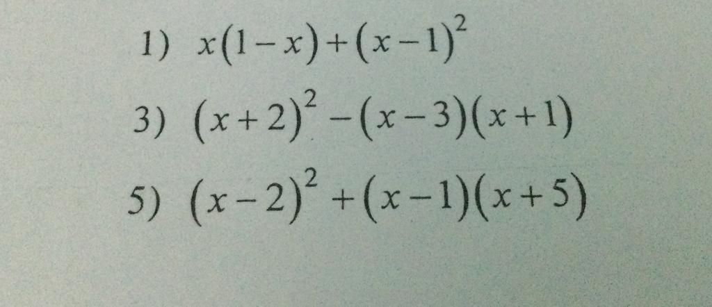
`x(1 -x) +(x -1)^2`
`=x - x^2 + x^2 -2x + 1`
`= -x +1`
`---`
`(x +2)^2 - (x -3)(x +1)`
`= x^2 + 4x + 4 - (x^2 + x -3x -3)`
`= x^2 + 4x + 4 - x^2 +2x +3`
`= 6x +7`
`--`
`(x -2)^2 +(x -1)(x +5)`
`= x^2 -4x +4 + x^2 + 5x - x -5`
`= 2x^2 -1`
Hãy giúp mọi người biết câu trả lời này thế nào?
Đáp án:
$↓$
Giải thích các bước giải:
`1)\ x(1-x) +(x-1)^2`
`= x - x^2 + (x^2 - 2x + 1)`
`= x - x^2 + x^2 - 2x + 1 `
`= -x + 1`
$\\$
`2)\ (x+2)^2 - (x-3)(x+1)`
`= (x^2 + 4x + 4) - (x^2 + x - 3x - 3)`
`= x^2 + 4x + 4 - x^2 + 2x + 3`
`= 6x + 7`
$\\$
`3)\ (x-2)^2 + (x-1)(x+5)`
`= (x^2 - 4x + 4) + (x^2 + 5x - x - 5)`
`= x^2 - 4x + 4 + x^2 + 4x - 5`
`= 2x^2 - 1`
Hãy giúp mọi người biết câu trả lời này thế nào?
Bảng tin
327
10163
386
cày dữ dội zậy e gái iu?
8644
111640
5938
=)) rảnh mà chị
12
44
1
Nhưng đề bài là thực hiện phép tính mà
8644
111640
5938
Vâng ạ nó chỉ tính đc như này th c