

Hãy luôn nhớ cảm ơn và vote 5*
nếu câu trả lời hữu ích nhé!
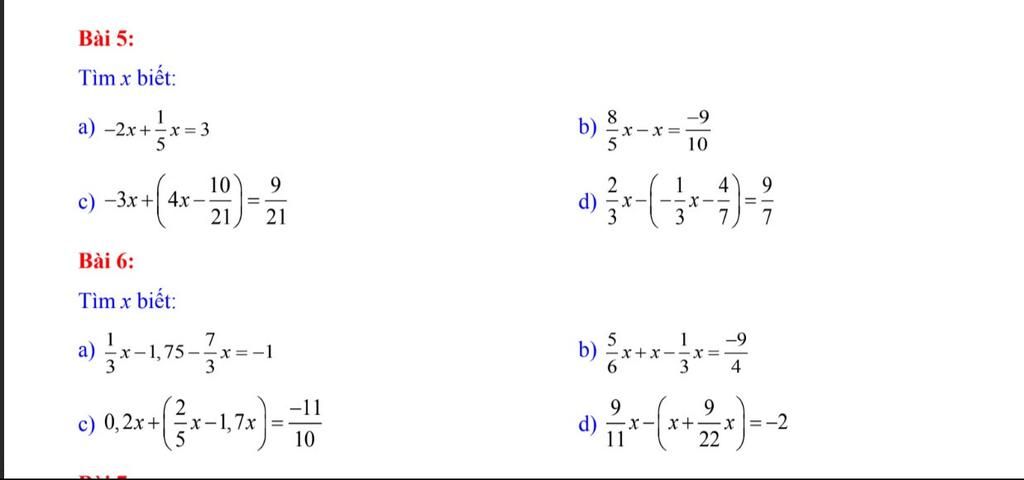
`5 . `
`a . ` `-2x+1/5x=3`
`(-2x+1/5x)=3`
`-9/5x=3`
`x=3:(-9/5)`
`x=-5/3`
`- - - - - - - - - - - - - - `
`b . ` `8/5x-x=(-9)/10`
`(8/5x-1x)=(-9)/10`
`3/5x=(-9)/10`
`x=(-9)/10:3/5`
`x=-3/2`
`- - - - - - - - - - - - - - `
`c . ` `-3x+(4x-10/21)=9/21`
`-3x+4x-10/21=9/21`
`(-3x+4x)-10/21=9/21`
`1x-10/21=9/21`
`1x=9/21+10/21`
`1x=19/21`
`x=19/21:1`
`x=19/21`
`- - - - - - - - - - - - - - `
`d . ` `2/3x-(-1/3x-4/7)=9/7`
`2/3x+1/3x+4/7=9/7`
`(2/3x+1/3x)+4/7=9/7`
`1x+4/7=9/7`
`1x=9/7-4/7`
`1x=5/7`
`x=5/7:1`
`x=5/7`
__________________________________________________
`6 . `
`a . ` `1/3x-1,75-7/3x=-1`
`1/3x-7/4-7/3x=-1`
`(1/3x-7/3x)-7/4=-1`
`-2x-7/4=-1`
`-2x=(-1)+7/4`
`-2x=3/4`
`x=3/4:(-2)`
`x=-3/8`
`- - - - - - - - - - - - - - `
`b . ` `5/6x+x-1/3x=(-9)/4`
`(5/6x+1x-1/3x)=(-9)/4`
`3/2x=(-9)/4`
`x=(-9)/4:3/2`
`x=-3/2`
`- - - - - - - - - - - - - - `
`c . ` `0,2x+(2/5x-1,7x)=(-11)/10`
`0,2x+(2/5x-17/10x)=(-11)/10`
`(0,2x+2/5x-17/10x)=(-11)/10`
`-11/10x=(-11)/10`
`x=(-11)/10:(-11/10)`
`x=1`
`- - - - - - - - - - - - - - `
`d . ` `9/11x-(x+9/22x)=-2`
`(9/11x-1x+9/22x)=-2`
`-13/22x=-2`
`x=(-2):(-13/22)`
`x=44/13`
`\text{#me}`
Hãy giúp mọi người biết câu trả lời này thế nào?

Bảng tin
3
25
3
Hay quá ạ . Mấy bài tập này hình như trên mạng nhỉ , mà mình tra không có . Ai biết nguồn nói mình nhaaa
930
2358
707
í bạn là mình copy trên mạng hay j ?
3
25
3
Không phải , ý mình là kiểu mấy câu này là thầy mình lấy trên mạng ý . Mình cần tìm nguồn của bài tập đó , vì mình còn rất nhìu bài tập liên quan . Sợ phiền mấy anh chị trên đây nên không dám hỏi nhiều á