

Hãy luôn nhớ cảm ơn và vote 5*
nếu câu trả lời hữu ích nhé!
`#Ly`
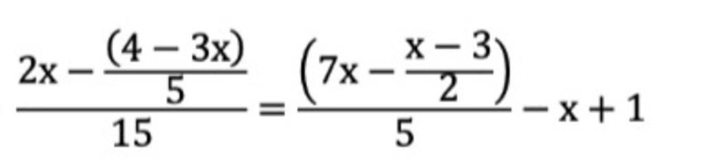
`[2x-((4-3x))/5]/15=((7x-(x-3)/2))/5-x+1`
`<=>[2x-((4-3x))/5]/15=(21x-(3x-9)/2)/15-(x-1)`
`<=>[2x-((4-3x))/5]/15=(21x-(3x-9)/2)/15-(15x-15)/15`
`=>2x-((4-3x))/5=21x-(3x-9)/2-15x+15`
`<=>(20x)/10-((8-6x))/10=(210x)/10-(15x-45)/10 - (150x)/10+150/10`
`=>20x-(8-6x)=210x-(15x-45)-150x+150`
`<=>20x-8+6x=210x-15x+45-150x+150`
`<=>20x+6x-210x+15x+150x=8+45+150`
`<=>-19x=203`
`<=>x=-203/19`
Vậy `S={-203/19}`
Hãy giúp mọi người biết câu trả lời này thế nào?

Đáp án:
Giải thích các bước giải:
`(2x-((4x-3)/5))/15=(7x-((x-3)/2))/5-x+1`
`=>(2x-((4x-3)/5))/15=([7x-((x-3)/2)]xx3)/15 - ((x+1)xx15)/15`
`=>2x-((4-3x))/5 =21x-3. ((x-3)/2)-15x-15`
`<=>2x-21x+15x-15=(4-3x)/5 -(3x-9)/2`
`<=>-4x-15=(8-6x)/10-(15x-45)/10`
`<=>-4x-15=(-21x+53)/10`
`<=>-40x-150=-21x+53`
`<=>-19x=203`
`<=>x=-203/19`
Vậy `S={-203/19}`
Hãy giúp mọi người biết câu trả lời này thế nào?

Bảng tin
5
496
13
`=>20x-(8-6x)=210x-(15x-45)-150x+150` Câu này có đc quy đồng và rút gọn mẫu số `\ne` `0` ko nhỉ?
3026
9160
2239
bạn định quy đồng ntn ạ
5
496
13
hình như nhầm ạ, mình hiểu cách bạn trl r, cảm ơn nhé
3026
9160
2239
dạ , kcj ạ