

Hãy luôn nhớ cảm ơn và vote 5*
nếu câu trả lời hữu ích nhé!
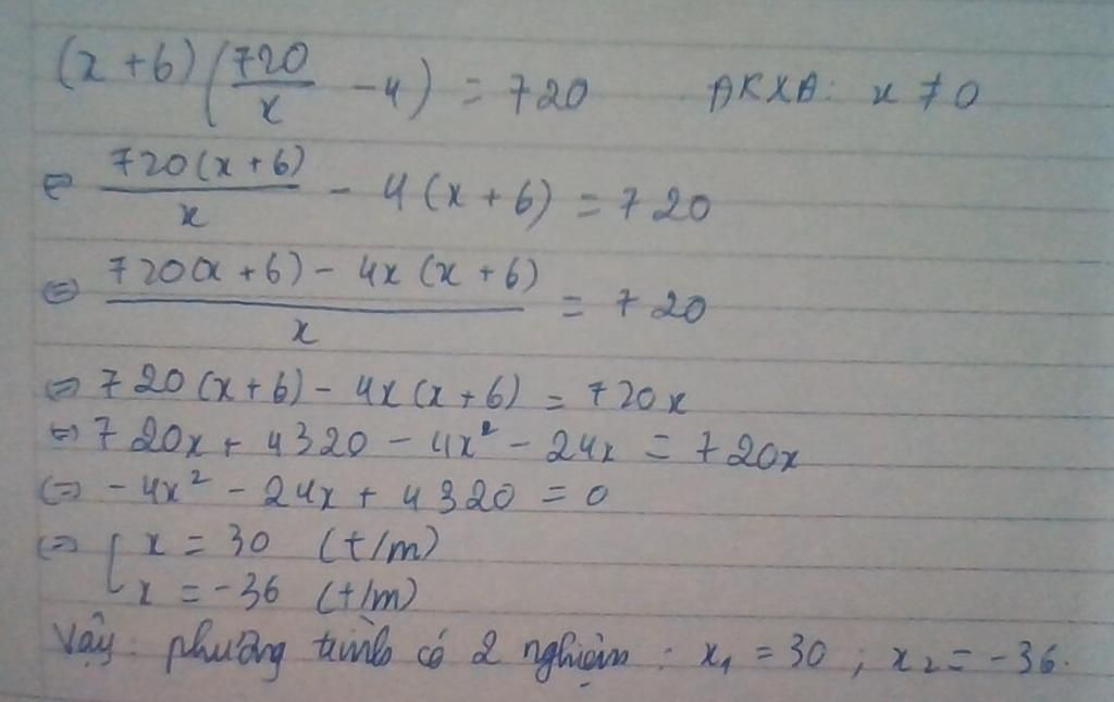
`(x + 6)(720/x - 4) = 720`
`<=> 720 - 4x + 4320/x - 24 = 720`
`<=> 720x - 4x^2 + 4320 - 24x = 720x`
`<=> 696x - 4x^2 + 4320 = 720x`
`<=> 696x - 4x^2 + 4320 - 720x = 0`
`<=> -24x - 4x^2 + 4320 = 0`
`<=> -4( 6x + x^2 -1080) = 0`
`<=> 6x + x^2 - 1080 = 0 : (-4)`
`<=> 36x - 30x + x^2 - 1080 = 0`
`<=> x(x + 36) -30(x + 36) = 0`
`<=> (x + 36(x - 30) = 0`
`<=>` $\left[\begin{matrix} x + 36 = 0\\ x - 30 = 0\end{matrix}\right.$
`<=>` $\left[\begin{matrix} x = -36\\ x = 30\end{matrix}\right.$
Vậy `S = {-36; 30}`
Hãy giúp mọi người biết câu trả lời này thế nào?
Bảng tin
156
522
69
Tại sao `720` lại thành `720x`.
156
522
69
bạn giải khó hiểu quá.
156
522
69
trl nhanh đi bạn.
156
522
69
hay là bạn chép mạng ạ.
156
522
69
.....
156
522
69
trả lời đi bạn.
1112
30790
869
nhân 720 với x ở dưới mẫu bên vế trái thì thành 720x còn gì