

Hãy luôn nhớ cảm ơn và vote 5*
nếu câu trả lời hữu ích nhé!
Giải thích các bước giải:
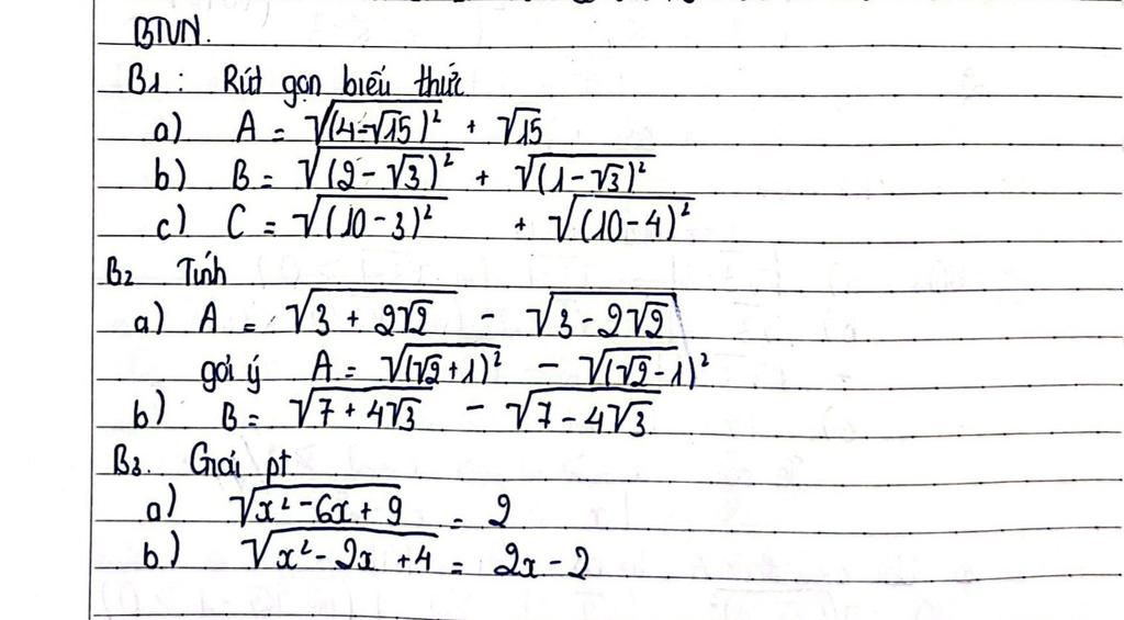
B1:
a) $A=\sqrt{(4-sqrt{15})^2}+\sqrt{15}$
$=|4-\sqrt{15}+\sqrt{15}$
$=4-\sqrt{15}-\sqrt{15}$
$=4$
b) $B=\sqrt{(2-\sqrt3)^2}+\sqrt{(1-\sqrt3)^2}$
$=|2-\sqrt3|+|1-\sqrt3|$
$=2-\sqrt3+\sqrt3-1$
$=1$
c) $C=\sqrt{(10-3)^2}+\sqrt{(10-4)^2}$
$=|10-3|+|10-4|$
$=10-3+10-4$
$=13$
B2:
a) $A=\sqrt{3+2\sqrt2}-\sqrt{3-2\sqrt2}$
$=\sqrt{[(\sqrt2)^2+2.\sqrt2.1+1^2]}-\sqrt{[(\sqrt2)^2-2.\sqrt2.1+1^2]}$
$=\sqrt{(\sqrt2+1)^2}-\sqrt{(\sqrt2-1)^2}$
$=|\sqrt2+1|-|\sqrt2-1|$
$=\sqrt2+1-\sqrt2+1$
$=2$
b) $B=\sqrt{7+4\sqrt3}-\sqrt{7-4\sqrt3}$
$=\sqrt{[(\sqrt3)^2+2.\sqrt3.2+2^2]}-\sqrt{[(\sqrt3)^2-2.\sqrt3.2+2^2]}$
$=\sqrt{(\sqrt3+2)^2}-\sqrt{(\sqrt3-2)^2}$
$=|\sqrt3+2|-|\sqrt3-2|$
$=\sqrt3+2-2+\sqrt3$
$=2\sqrt3$
B3:
a) $\sqrt{x^2-6x+9}=2$
$(\sqrt{x^2-6x+9})^2=2^2$
$x^2-6x+9=4$
$x^2-6x+5=0$
\(\left[ \begin{array}{l}x=1\\x=5\end{array} \right.\)
b) $\sqrt{x^2-2x+4}=2x-2$
$(\sqrt{x^2-2x+4})^2=(2x-2)^2$
$x^2-2x+4=4x^2-8x+4$
$-3x^2+6x=0$
$3x^2-6x=0$
\(\left[ \begin{array}{l}x=0\\x=2\end{array} \right.\)
_____________________________
Chúc em học tốt!
Hãy giúp mọi người biết câu trả lời này thế nào?
![]()
Bảng tin
1002
10012
915
giải bằng tay nhanh thật