

Hãy luôn nhớ cảm ơn và vote 5*
nếu câu trả lời hữu ích nhé!
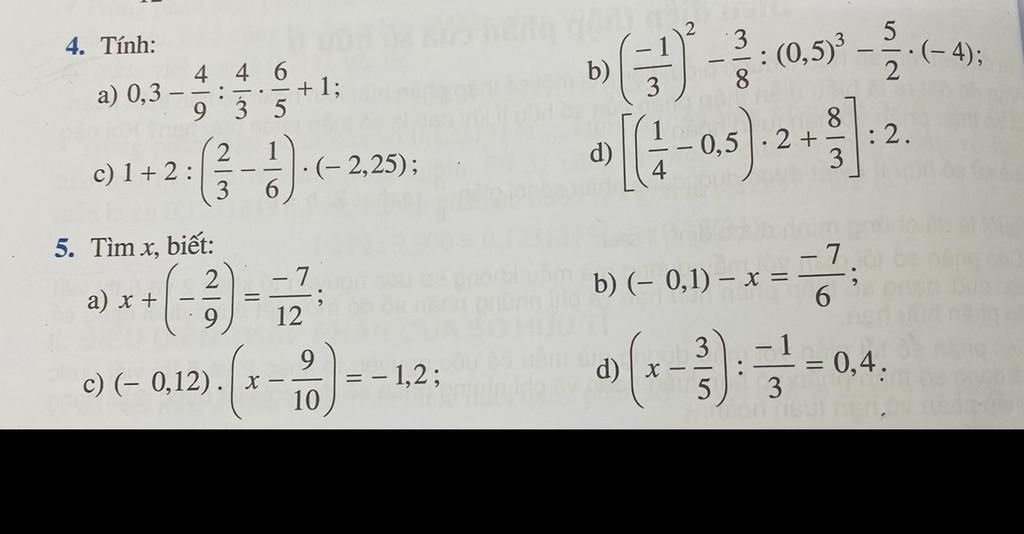
4. Tính:
`a)` `0,3 - 4/9 : 4/3 . 6/5 + 1`
`= 3/10 - 4/9 . 3/4 . 6/5 + 1`
`= 3/10 - 1/3 . 6/5 + 1`
`= 3/10 - 2/5 + 1`
`= 3/10 - 4/10 + 10/10`
`= 9/10`
`b)` `((-1)/3)^2 - 3/8 : (0,5)^3 - 5/2 . (-4)`
`= 1/9 - 3/8 : (1/2)^3 + 10`
`= 1/9 - 3/8 : 1/8 + 10`
`= 1/9 - 3/8 . 8 + 10`
`= 1/9 - 3 + 10`
`= 1/9 + 7`
`= 1/9 + 63/9`
`= 64/9`
`c)` `1 + 2 : (2/3 - 1/6) . (-2,25)`
`= 1 + 2 : (4/6 - 1/6) . ((-225)/100)`
`= 1 + 2 : 3/6 . (-9/4)`
`= 1 + 2 : 1/2 . (-9/4)`
`= 1 + 2 . 2 . (-9/4)`
`= 1 - 9`
`= -8`
`d)` `[(1/4 - 0,5) . 2 + 8/3] : 2`
`= [(1/4 - 1/2) . 2 + 8/3] : 2`
`= [(1/4 - 2/4) . 2 + 8/3] : 2`
`= [-1/4 . 2 + 8/3] : 2`
`= [-1/2 + 8/3] : 2`
`= [-3/6 + 16/6] : 2`
`= 13/6 : 2`
`= 13/6 . 1/2`
`= 13/12`
5. Tìm `x,` biết:
`a)` `x + (-2/9) = (-7)/12`
`x = (-7)/12 - (-2/9)`
`x = (-7)/12 + 2/9`
`x = -13/36`
Vậy `x = -13/36`
`b)` `(-0,1) - x = (-7)/6`
`(-1/10) - x = (-7)/6`
`x = -1/10 + 7/6`
`x = -6/60 + 70/60`
`x = 64/60`
`x = 16/15`
Vậy `x = 16/15`
`c)` `(-0,12).(x - 9/10) = -1,2`
`-3/25.(x - 9/10) = -6/5`
`x - 9/10 = -6/5 : (-3/25)`
`x - 9/10 = -6/5 . (-25/3)`
`x - 9/10 = 10`
`x = 10 + 9/10`
`x = 100/10 + 9/10`
`x = 109/10`
Vậy `x = 109/10`
`d)` `(x - 3/5) : (-1)/3 = 0,4`
`(x - 3/5) : (-1)/3 = 2/5`
`x - 3/5 = 2/5 . ((-1)/3)`
`x - 3/5 = -2/15`
`x = -2/15 + 3/5`
`x = -2/15 + 9/15`
`x = 7/15`
Vậy `x = 7/15`
Hãy giúp mọi người biết câu trả lời này thế nào?
Bảng tin