

Hãy luôn nhớ cảm ơn và vote 5*
nếu câu trả lời hữu ích nhé!
Đáp án:
`(31+3sqrt6-9sqrt3+6sqrt2)/7`
Giải thích các bước giải:
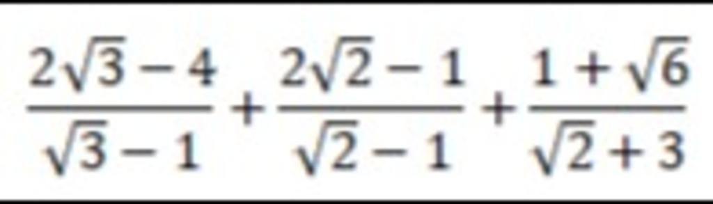
`(2sqrt3-4)/(sqrt3-1)+(2sqrt2-1)/(sqrt2-1)+(1+sqrt6)/(sqrt2+3)`
`=((2sqrt3-4)(sqrt3+1))/((sqrt3-1)(sqrt3+1))+((sqrt2-1)(2+sqrt2+1))/(sqrt2-1)+((1+sqrt6)(sqrt2-3))/((sqrt2+3)(sqrt2-3))`
`=(6+2sqrt3-4sqrt3-4)/(3-1)+3+sqrt2+(sqrt2-3+2sqrt3-3sqrt6)/(2-9)`
`=(2-2sqrt3)/2+3+sqrt2+(sqrt2-3+2sqrt3-3sqrt6)/-7`
`=1-sqrt3+3+sqrt2-(sqrt2-3+2sqrt3-3sqrt6)/7`
`=(7(4-sqrt3+sqrt2)-(sqrt2-3+2sqrt3-3sqrt6))/7`
`=(28-7sqrt3+7sqrt2-sqrt2+3-2sqrt3+3sqrt6)/7`
`=(31+3sqrt6-9sqrt3+6sqrt2)/7`
`#td`
Hãy giúp mọi người biết câu trả lời này thế nào?
![]()
Bảng tin