Đăng nhập để hỏi chi tiết


Hãy luôn nhớ cảm ơn và vote 5*
nếu câu trả lời hữu ích nhé!
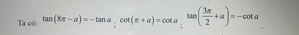
Đáp án:
tan(8$\pi$-a)= tan(-a) = -tan(a)
cot($\pi$ +a) = cot(a)
tan($\frac{3\pi}{2}$ +a) = tan($\pi$ +$\frac{\pi}{2}$+a)
= tan($\frac{\pi}{2}$+a)
= tan($\frac{\pi}{2}$ - (-a))
= cot(-a)=-cot(a)
Giải thích các bước giải:
Hãy giúp mọi người biết câu trả lời này thế nào?
Bảng tin