

Hãy luôn nhớ cảm ơn và vote 5*
nếu câu trả lời hữu ích nhé!
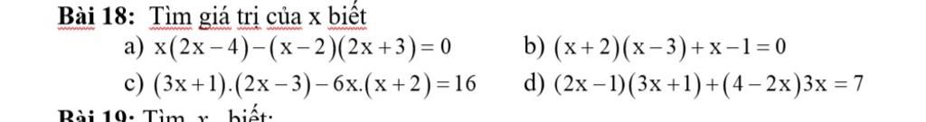
Đáp án:
`a)` `x=2`
`b)` `x=\sqrt{7}` hoặc `x=-\sqrt{7}`
`c)` `x=-1`
`d)` `x=8/11`
Giải thích các bước giải:
`a)` `x(2x-4)-(x-2)(2x+3) = 0`
`<=> (2x^2-4x)-(2x^2+3x-4x-6) = 0`
`<=> (2x^2-4x)-(2x^2-x-6) = 0`
`<=> 2x^2-4x-2x^2+x+6 = 0`
`<=> (2x^2-2x^2)+(-4x+x) = -6`
`<=> -3x = -6`
`<=> x = 2`
Vậy `x=2`
`b)` `(x+2)(x-3)+x-1 = 0`
`<=> (x^2-3x+2x-6)+x-1 = 0`
`<=> x^2-x-6+x-1 = 0`
`<=> x^2+(-x+x)+(-6-1) = 0`
`<=> x^2-7 = 0`
`<=> x^2 = 7`
`<=>` \(\left[ \begin{array}{l}x=\sqrt{7}\\x=-\sqrt{7}\end{array} \right.\)
Vậy `x=\sqrt{7}` hoặc `x=-\sqrt{7}`
`c)` `(3x+1)(2x-3)-6x(x+2) = 16`
`<=> (6x^2-9x+2x-3)-(6x^2+12x) = 16`
`<=> 6x^2-7x-3-6x^2-12x = 16`
`<=> (6x^2-6x^2)+(-7x-12x)-3 = 16`
`<=> -19x = 19`
`<=> x = -1`
Vậy `x=-1`
`d)` `(2x-1)(3x+1)+(4-2x)3x = 7`
`<=> (6x^2+2x-3x-1)+(12x-6x^2) = 7`
`<=> 6x^2-x-1-6x^2+12x = 7`
`<=> (6x^2-6x^2)+(-x+12x) = 8`
`<=> 11x = 8`
`<=> x = 8/11`
Vậy `x=8/11`
Hãy giúp mọi người biết câu trả lời này thế nào?

Đáp án:
Giải thích các bước giải:
a) x(2x-4)-(x-2)(2x+3)=0
⇒2x(x-2)-(x-2)(2x+3)=0
⇒(x-2)(2x-2x-3)=0
⇒(x-2)(-3)=0
⇒-3x+6=0
⇒-3x=-6
⇒-x=-2
⇒x=2
b) (x+2)(x-3)+x-1=0
⇒x²-3x+2x-6+x-1=0
⇒x²+(-3x+2x+x)+(-6-1)=0
⇒x²-7=0
⇒x²=7
⇒x=√7 hoặc x=-√7
c) (3x+1)(2x-3)-6x(x+2)=16
⇒6x²-9x+2x-3-6x²-12x-16=0
⇒(6x²-6x²)+(-9x+2x-12x)+(-3-16)=0
⇒-19x-19=0
⇒-19x=-19
⇒-x=-1
⇒x=1
d) (2x-1)(3x+1)+(4-2x)3x=7
⇒6x²+2x-3x-1+12x-6x²-7=0
⇒(6x²-6x²)+(2x-3x+12x)+(-1-7)=0
⇒11x-8=0
⇒11x=8
⇒x=$\frac{8}{11}$
Hãy giúp mọi người biết câu trả lời này thế nào?
Bảng tin
50
4334
46
mik cảm ơn nhiều lắm ah
3789
66719
2725
Không có gì ạ