Tham Gia Group Dành Cho Lớp 9 - Ôn Thi Vào Lớp 10 Miễn Phí
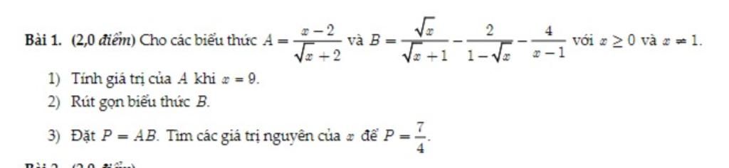
Bài 1. (2,0 điểm) Cho các biểu thức A=
1)
2)
Tính giá trị của A khi a = 9.
Rút gọn biểu thức B.
2-2
RHO 10
√x + 2
và B =
√
7
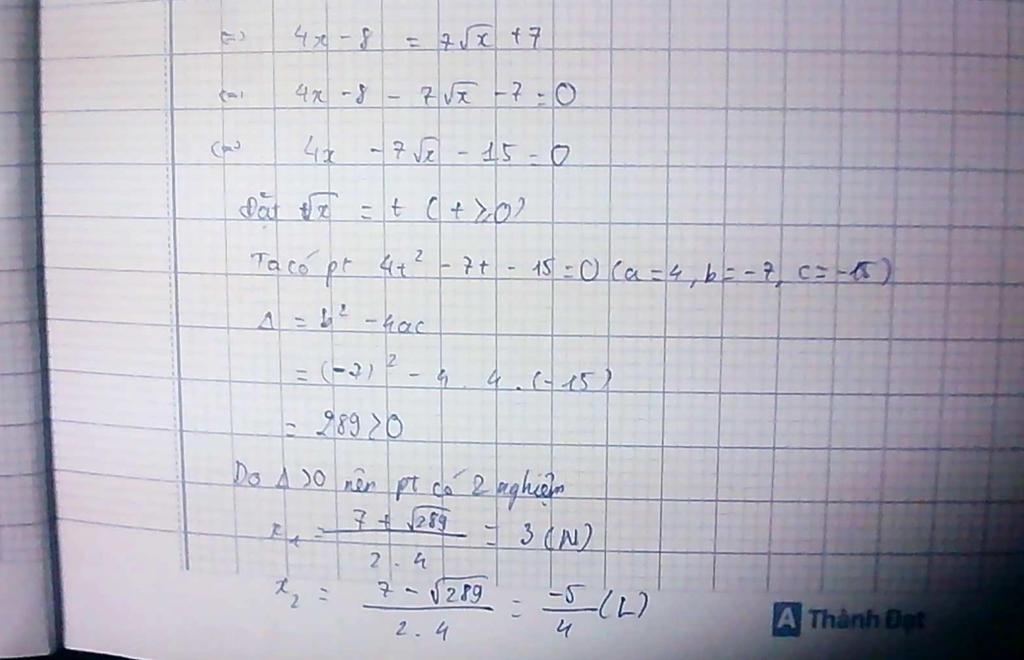
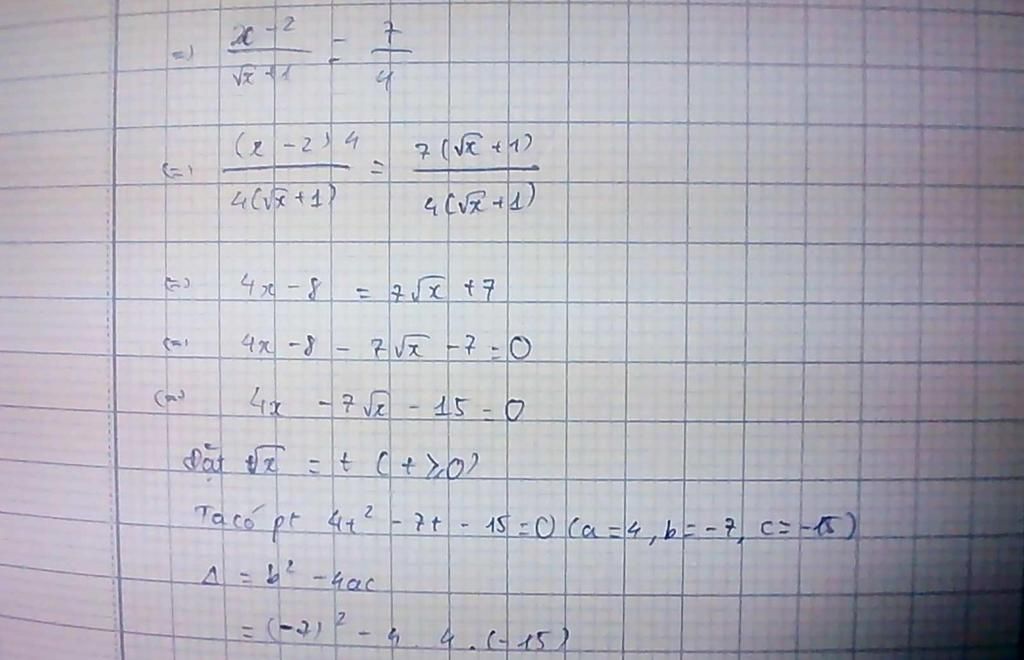
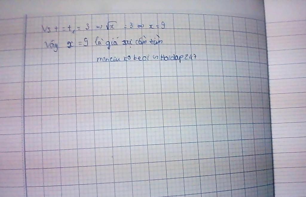
3) Đặt P = AB. Tìm các giá trị nguyên của a để P = 4
2
1-√a
20
4
với : >0 và 21.