Vui lòng chỉ chọn một câu hỏi
Hoidap247.com Nhanh chóng, chính xác
+
Danh mục mới
0
130
Hãy luôn nhớ cảm ơn và vote 5* nếu câu trả lời hữu ích nhé!
165
5735
198
Đáp án+Giải thích các bước giải:
Hãy giúp mọi người biết câu trả lời này thế nào?
9058
97757
5316
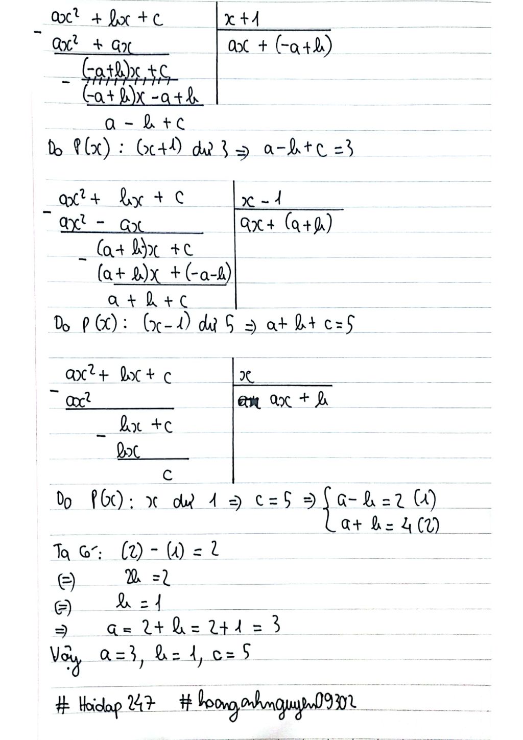
`"Trong ảnh nha bạn."`
$\\$
`\bb\color{#33a4f5}{\text{@hoanganhnguyen09302}}`
Bảng tin
Gửi yêu cầu Hủy