

Hãy luôn nhớ cảm ơn và vote 5*
nếu câu trả lời hữu ích nhé!
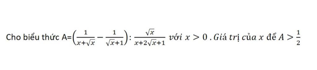
`A=(1/(x+\sqrt{x})-1/(\sqrt{x}+1)):(\sqrt{x})/(x+2\sqrt{x}+1)(ĐK:x>0; x\ne1)`
`=(1-\sqrt{x})/(\sqrt{x}.(\sqrt{x}+1)).((\sqrt{x}+1)^2)/(\sqrt{x})`
`=((1-\sqrt{x}).(\sqrt{x}+1))/(x)`
`=(1-x)/x`
Để `A>1/2` thì `(1-x)/x>1/2`
`=>2.(1-x)>x`
`<=>2-2x>x`
`<=>3x<2`
`<=>x<2/3`
Vậy với `0<x<2/3; x\ne1` thì `A>1/2`
Hãy giúp mọi người biết câu trả lời này thế nào?

`ĐKXĐ: x > 0 `
`A=(1/(x+sqrtx) - 1/(sqrtx +1)) : sqrtx/(x+2sqrtx+1)`
`=(1/(sqrtx(sqrtx+1)) - sqrtx/(sqrtx(sqrtx +1))) : sqrtx/(sqrtx+1)^2`
`=(1/(sqrtx(sqrtx+1)) - sqrtx/(sqrtx(sqrtx +1))) . (sqrtx+1)^2/sqrtx`
`=(1-sqrtx)/(sqrtx(sqrtx+1)) . (sqrtx+1)^2/sqrtx`
`=((1-sqrtx)(1+sqrtx))/x`
`=(1-x)/x`
Để `A> 1/2` thì:
`(1-x)/x > 1/2`
`<=>(1-x)/x - 1/2 > 0`
`<=>(2(1-x))/(2x) - x/(2x) > 0`
`<=>(2-2x)/(2x) - x/(2x) > 0`
`<=>(2-2x-x)/(2x)> 0`
`<=>(2-3x)/(2x)> 0`
`<=>`\(\left[ \begin{array}{l}\begin{cases} 2-3x>0\\2x>0 \end{cases}\\\begin{cases} 2-3x<0\\2x<0 \end{cases}\end{array} \right.\)
`<=>`\(\left[ \begin{array}{l}\begin{cases} x<\dfrac{2}{3}\\x>0 \end{cases}\\\begin{cases} x>\dfrac{2}{3}\\x<0 \text{(vô lý)} \end{cases}\end{array} \right.\)
`<=>` 0 < x < 2/3`
Vậy `0 < x < 2/3`
Hãy giúp mọi người biết câu trả lời này thế nào?

Bảng tin
57
3917
42
c/ơn ạ
2830
40880
1619
ủa đc nhân chéo à :V
6679
247
6273
đc mà?