

Hãy luôn nhớ cảm ơn và vote 5*
nếu câu trả lời hữu ích nhé!
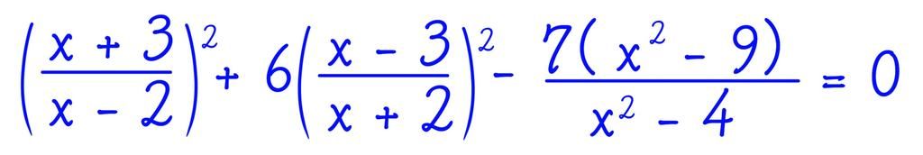
Ta có: `((x + 3)/(x -2))^2 + 6((x - 3)/(x +2))^2 - (7(x^2 - 9))/(x^2 - 4) = 0 (1) (ĐK: `x \ne +-2`)
Đặt `(x + 3)/(x - 2) = a,(x - 3)/(x + 2) = b`
`=> (1) <=> a^2 + 6b^2 - 7ab = 0`
`<=> a^2 - ab - 6ab + 6b^2 = 0`
`<=> a(a -b) - 6b(a - b) = 0`
`<=> (a - b)(a - 6b) = 0`
`+) a - b = 0`
`<=> (x + 3)/(x - 2) - (x - 3)/(x + 2) = 0`
`<=> ((x + 3)(x + 2))/((x - 2)(x +2)) - ((x - 3)(x - 2))/((x - 2)(x + 2)) = 0`
`=> x^2 + 5x + 6 - x^2 + 5x - 6 = 0`
`<=> 10x = 0`
`<=> x = 0` (tm)
`+) a - 6b = 0`
`<=> (x + 3)/(x - 2) - (6(x - 3))/(x + 2) = 0`
`<=> ((x + 3)(x + 2))/((x - 2)(x +2)) - (6(x - 3)(x - 2))/((x - 2)(x + 2)) = 0`
`=> x^2 + 5x + 6 - 6(x^2 - 5x + 6) = 0`
`<=> x^2 + 5x + 6 - 6x^2 + 30x - 36 = 0`
`<=> -5x^2 + 35x - 30 = 0`
`<=> -5(x^2 - 7x + 6) = 0`
`<=> x^2 - 7x +6 = 0`
`<=> x^2 - x - 6x + 6 = 0`
`<=> x(x - 1) - 6(x - 1) = 0`
`<=> (x - 1)(x - 6)= 0`
`<=> x - 1= 0` hoặc `x - 6 = 0`
`<=> x =1` (tm) hoặc `x =6` (tm)
Vậy `S = {0,1,6}` là tập nghiệm của pt
$#duong612009$
Hãy giúp mọi người biết câu trả lời này thế nào?

Bảng tin