

Hãy luôn nhớ cảm ơn và vote 5*
nếu câu trả lời hữu ích nhé!
Đáp án `+` Giải thích các bước giải:
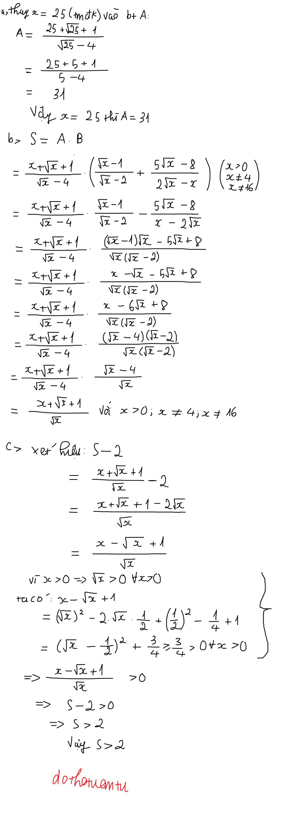
`a)` (ĐKXĐ : `x >0, x \ne 4; 16`)
Thay `x = 25` (TMĐK) vào `A`, ta có :
`A = (25 + sqrt{25} + 1)/(sqrt{25} - 4)`
`A = (25 + 5 + 1)/(5 - 4)`
`A = 31/1`
`A = 31`
Vậy `A = 31` khi `x = 25`
`b)`
`S = A.B`
`S = ((x + sqrt{x} + 1)/(sqrt{x} - 4)).((sqrt{x} - 1)/(sqrt{x} - 2) + (5sqrt{x} - 8)/(2sqrt{x} - x))`
`S = ((x + sqrt{x} + 1)/(sqrt{x} - 4)).[(sqrt{x}(sqrt{x} - 1))/(sqrt{x}(sqrt{x} - 2)) - (5sqrt{x} - 8)/(sqrt{x}(sqrt{x} - 2))]`
`S = ((x + sqrt{x} + 1)/(sqrt{x} - 4)).[(x - sqrt{x} - 5sqrt{x} + 8)/(sqrt{x}(sqrt{x} - 2))]`
`S = ((x + sqrt{x} + 1)/(sqrt{x} - 4)).[(x - 4sqrt{x} - 2sqrt{x} + 8)/(sqrt{x}(sqrt{x} - 2))]`
`S = ((x + sqrt{x} + 1)/(sqrt{x} - 4)).[((sqrt{x} - 4)(sqrt{x} - 2))/(sqrt{x}(sqrt{x} - 2))]`
`S = (x + sqrt{x} + 1)/sqrt{x}`
Vậy `S = (x + sqrt{x} + 1)/sqrt{x}`
`c)`
`S = (x + sqrt{x} + 1)/sqrt{x}`
`S = (2sqrt{x})/sqrt{x} + (x - sqrt{x} + 1)/sqrt{x}`
`S = 2 + (x - sqrt{x} + 1)/sqrt{x}`
Ta có : `x - sqrt{x} + 1 = (sqrt{x} - 1/2)^2 + 3/4`
Mà `(sqrt{x} - 1/2)^2 >= 0 \forall x ∈ RR` và `3/4 > 0`
`-> (x - sqrt{x} + 1)/sqrt{x} > 0`
`-> 2 + (x - sqrt{x} + 1)/sqrt{x} > 2`
`-> S > 2`
Vậy `S > 2`
`#Gao`
Hãy giúp mọi người biết câu trả lời này thế nào?
Bảng tin
1261
88
1272
Cay gi ma ghe du zay
1736
19686
1732
xong đoàn với tt, là t ngủm thoii chứ ghe gì =))
1261
88
1272
ukm
1261
88
1272
tU SANG TOI GIO CO TO VA CAU CAY THOI DO NHA
1736
19686
1732
uhm, may lan trc cx vay. Chi co to voi mot ban nua cay =)
1261
88
1272
:))