Tham Gia Group Dành Cho Lớp 9 - Ôn Thi Vào Lớp 10 Miễn Phí
√x + 2
√x-2
1) Tính giá trị của biểu thức 4 khi x=16.
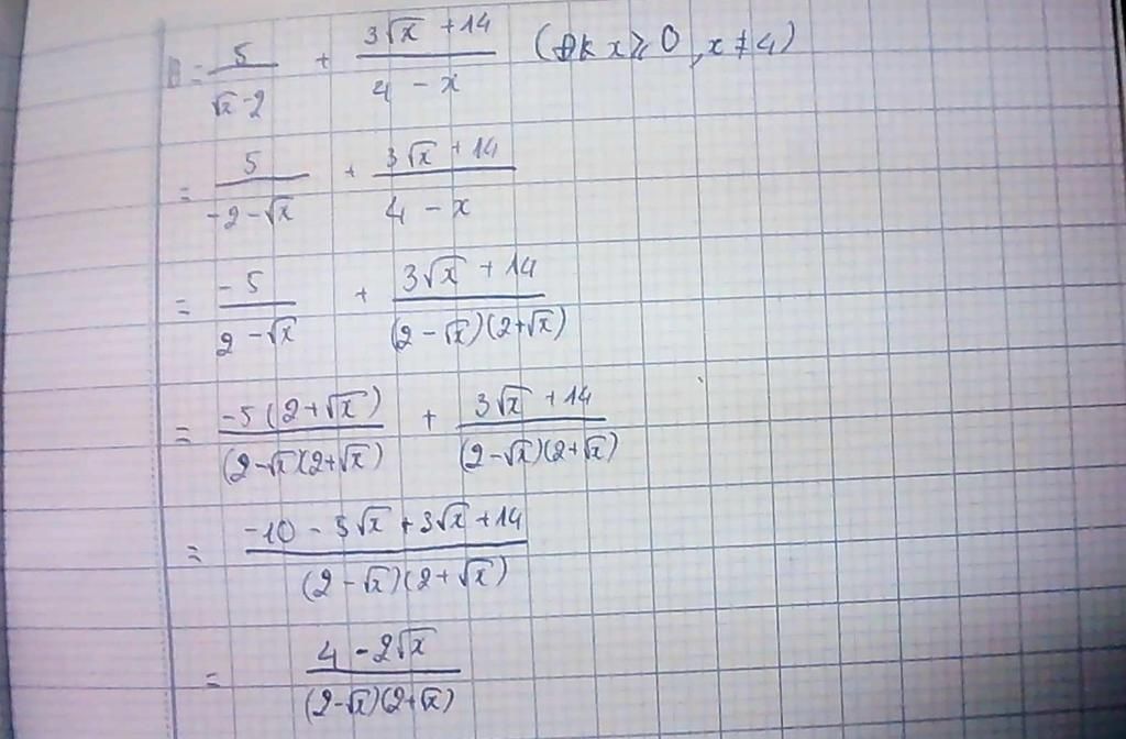
2) Rút gọn biểu thức B.
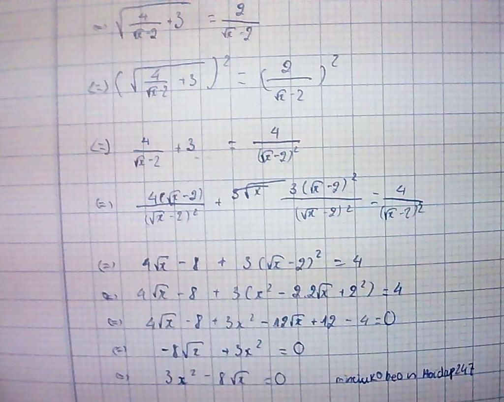
3) Xét biểu thức P= A.B . Tìm tất cả giá trị của x sao cho V2P+3=P.
Bài I. (2,0 điểm) Cho hai biểu thức A=
3√x+14
√√x-2 4-x
và B =
+
với x20;x#4
1
70
0
Sai:)