Vui lòng chỉ chọn một câu hỏi
Hoidap247.com Nhanh chóng, chính xác
+
Danh mục mới
66
479
43
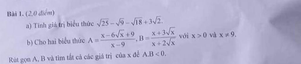
làm giúp em câu 1b với ạ
Xem thêm:
Bảng tin
Gửi yêu cầu Hủy