

Hãy luôn nhớ cảm ơn và vote 5*
nếu câu trả lời hữu ích nhé!
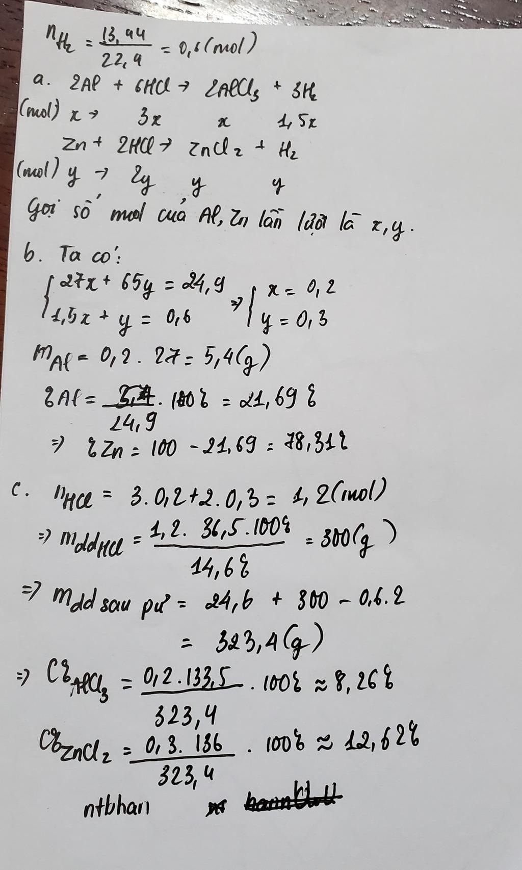
$a/$
$2Al+6HCl \to 2AlCl_3+3H_2$
$Zn+2HCl \to ZnCl_2+H_2$
$n_{H_2}=\frac{13,44}{22,4}=0,6(mol)$
$n_{Al}=a(mol)$
$n_{Zn}=b(mol)$
$m_{hh}=27a+65b=24,9(1)$
$n_{H_2}=1,5a+1b=0,6(2)$
$(1)(2)$
$a=0,2; b=0,3$
$b/$
$\%m_{Al}=\frac{0,2.27}{24,9}.100\%=21,69\%$
$\%m_{Zn}=78,31\%$
$c/$
$m_{ddHCl}=\frac{1,2.36,5.100}{14,6}=300(g)$
$m_{dd}=24,6+300-0,6.2=323,4\%$
$\%m_{AlCl_3}=\frac{0,2.133,5}{323,4}.100\%=8,26\%$
$\%m_{ZnCl_2}=\frac{0,3.136}{323,4}.100\%=12,62\%$
Hãy giúp mọi người biết câu trả lời này thế nào?
vào nhóm mik ko :??`->` Kh ạ cảm ơn `.`
Xem lại đơn vị dd sau pư kìa
`?` Thì lsao ạ `?`
"` m_{dd}`
;-; Tìm hoài kh ra :>
Vs lại `%` khác `C%`
Thui bc hộ t đã ng khác trl chứ t kh hỉu t sai chỗ nào í cx cơn đã nhắc nha cou :3
Sửa đơn vị thôi mà đâu có sai
Bảng tin
983
16358
455
ê,ô hợp tác với nhóm tui ko