

Hãy luôn nhớ cảm ơn và vote 5*
nếu câu trả lời hữu ích nhé!
Đáp án:
Giải thích các bước giải:
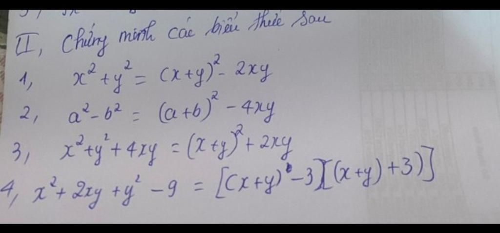
`1.`
`(x + y)^2 - 2xy`
`= (x+y)(x+y) - 2xy`
`= x^2 + xy + xy + y^2 - 2xy`
`= x^2 + 2xy+ y^2 - 2xy`
`= x^2 + y^2`
`2.` Sửa đề, tự dưng đang `ab` lại thành `xy` =)))
`(a + b)^2 - 4ab`
`= (a + b)(a+b) - 4ab`
`= a^2 + ab + ab + b^2 - 4ab`
`= a^2 + 2ab + b^2 - 4ab`
`= a^2 - 2ab + b^2`
`= a^2 - ab - ab + b^2`
`= a(a-b) - b(a-b)`
`= (a-b)(a-b)`
`= (a-b)^2`
`3.`
`x^2 + y^2 + 4xy`
`= x^2 + y^2 + xy + xy + 2xy`
`= x(x + y) + y(x+y) + 2xy`
`= (x + y)(x+y) + 2xy`
`= (x+y)^2 + 2xy`
`4.`
`x^2 + 2xy + y^2 - 9`
`= (x^2 + xy + 3x) + (xy + y^2 + 3y) - 3x - 3y - 9`
`= x(x + y + 3) + y(x+y+3) - 3(x+y+3)`
`= (x+y-3)(x+y+3)`
`= [(x+y)-3][(x+y)+3]`
Hãy giúp mọi người biết câu trả lời này thế nào?
Đáp án+Giải thích các bước giải:
`1) x^2 + y^2`
`= (x^2+xy) + (xy +y^2) -2xy`
`= x.(x+y) + y.(x+y) -2xy`
`=(x+y)^2 -2xy`
Vậy `x^2 + y^2=(x+y)^2 -2xy`
`2)` Sửa đề : `(a-b)^2=(a+b)^2-4ab`
`(a-b)^2`
`= a^2-2ab+b^2`
`= (a^2+ab) + (ab+b^2)-4ab`
`=a.(a+b) + b.(a+b) - 4ab`
`=(a+b)^2 - 4ab`
Vậy `(a-b)^2=(a+b)^2-4ab`
`3) x^2+y^2+4xy`
`= (x^2+xy) + (xy +y^2) +2xy`
`= x.(x+y) + y.(x+y) +2xy`
`=(x+y)^2 +2xy`
Vậy `x^2 + y^2 + 4xy=(x+y)^2 +2xy`
`4) x^2+2xy+y^2-9`
`= (x^2+xy) + (xy +y^2) -9`
`= x.(x+y) + y.(x+y) -9`
`=(x+y)^2 -9`
`=[(x+y)^2-3.(x+y)] + [3.(x+y)-9]`
`= (x+y).[(x+y)-3] + 3.[(x+y)-3]`
`= [(x+y)-3].[(x+y)+3]`
Vậy `x^2+2xy+y^2-9= [(x+y)-3].[(x+y)+3]`
Hãy giúp mọi người biết câu trả lời này thế nào?
Bảng tin