Vui lòng chỉ chọn một câu hỏi
Hoidap247.com Nhanh chóng, chính xác
+
Danh mục mới
5
559
0
Hãy luôn nhớ cảm ơn và vote 5* nếu câu trả lời hữu ích nhé!
86
15616
40
nhớ vote 5 sao ^^
Hãy giúp mọi người biết câu trả lời này thế nào?
Xem thêm:
6903
93651
4224
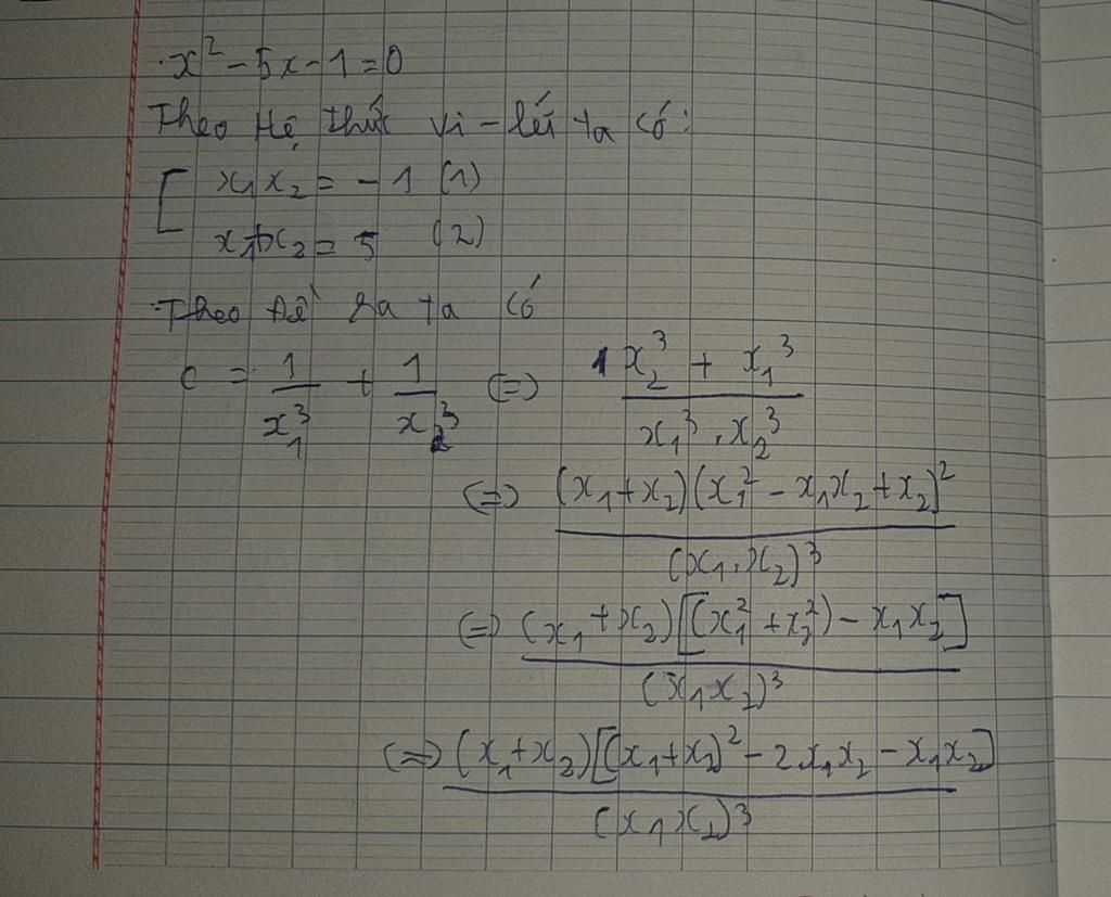
Đáp án:
Giải thích các bước giải:
Bảng tin
Gửi yêu cầu Hủy