cuuuuuuuuuuuuuuuuuuuuuuuuuuuuuuuuuuuuuuuuuuuuuuuuuuuuuuuuuuuuuuuuuuuuuuuuuuuuuuuuuuuuuuuuuuuuuuuuuuuuuuuuuuuuuuuuuuuuuuuuuuuuuuuuuuuuuuuuuuuuuu tui voi
Tham Gia Group Dành Cho Lớp 9 - Ôn Thi Vào Lớp 10 Miễn Phí
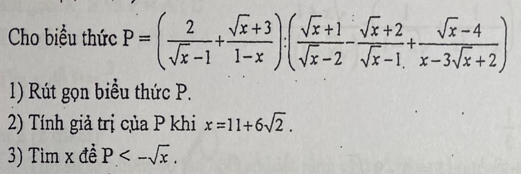
Cho biểu thức P =
2
√x-1
√x+3√x+1 √x+2, √x-4
1-x √x-2
#)(+
√x-1, x-3√x+2)
1) Rút gọn biểu thức P.
2) Tính giả trị của P khi x=11+6V2.
3) Tim x de P<-√.x.