

Hãy luôn nhớ cảm ơn và vote 5*
nếu câu trả lời hữu ích nhé!
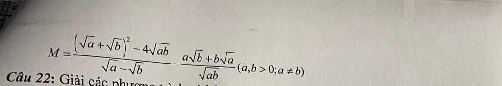
Đáp án `+` Giải thích các bước giải: (ĐKXĐ : `a,b > 0; a\ne b`)
`M = ((sqrt{a} + sqrt{b})^2 - 4sqrt{ab})/(sqrt{a} - sqrt{b}) - (asqrt{b} + bsqrt{a})/(sqrt{ab})`
`M = ((sqrt{a})^2 + 2sqrt{ab} + (sqrt{b})^2 - 4sqrt{ab})/(sqrt{a} - sqrt{b}) - (sqrt{ab}(sqrt{a} + sqrt{b}))/(sqrt{ab})`
`M = ((sqrt{a})^2 - 2sqrt{ab} + (sqrt{b})^2)/(sqrt{a} - sqrt{b}) - (sqrt{a} + sqrt{b})`
`M = ((sqrt{a} - sqrt{b})^2)/(sqrt{a} - sqrt{b}) - sqrt{a} - sqrt{b}`
`M = sqrt{a} - sqrt{b} - sqrt{a} - sqrt{b}`
`M = - 2sqrt{b}`
Vậy `M = - 2sqrt{b}`
`#Gao`
Hãy giúp mọi người biết câu trả lời này thế nào?
![]()
Bảng tin