

Hãy luôn nhớ cảm ơn và vote 5*
nếu câu trả lời hữu ích nhé!
Đáp án:
Giải thích các bước giải:
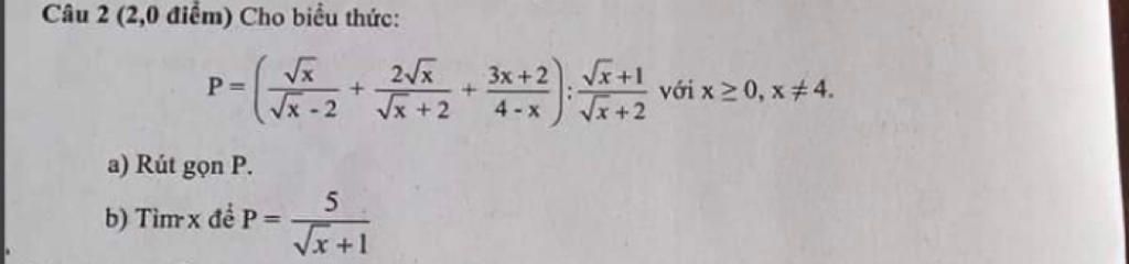
`a)` Với `x>=0;x ne4`
`P=((sqrtx)/(sqrtx-2)+(2sqrtx)/(sqrtx+2)+(3x+2)/(4-x)):(sqrtx+1)/(sqrtx+2)`
`=[(sqrtx(sqrtx+2))/(x-4)+(2sqrtx(sqrtx-2))/(x-4)-(3x+2)/(x-4)]:(sqrtx+1)/(sqrtx+2)`
`=(x+2sqrtx+2x-4sqrtx-3x-2)/(x-4)*(sqrtx+2)/(sqrtx+1)`
`=(-2sqrtx-2)/(x-4)*(sqrtx+2)/(sqrtx+1)`
`=(-2(sqrtx+1))/((sqrtx+2)(sqrtx-2))*(sqrtx+2)/(sqrtx+1)`
`=(-2)/(sqrtx-2)`
`b)`
Để `P=5/(sqrtx+1)` thì `(-2)/(sqrtx-2)=5/(sqrtx+1)`
`<=>-2sqrtx-2=5sqrtx-10`
`<=>-7sqrtx=-8`
`<=>sqrtx=8/7`
`<=>x=64/49` ( thoả mãn)
Hãy giúp mọi người biết câu trả lời này thế nào?
![]()
Bảng tin