Vui lòng chỉ chọn một câu hỏi
Hoidap247.com Nhanh chóng, chính xác
+
Danh mục mới
9
18
5
Hãy luôn nhớ cảm ơn và vote 5* nếu câu trả lời hữu ích nhé!
644
17038
365
Hãy giúp mọi người biết câu trả lời này thế nào?
Xem thêm:
655
7830
362
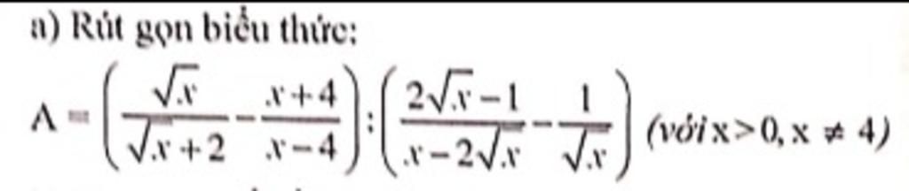
Đáp án:
Giải thích các bước giải:
Bảng tin
Gửi yêu cầu Hủy