

Hãy luôn nhớ cảm ơn và vote 5*
nếu câu trả lời hữu ích nhé!
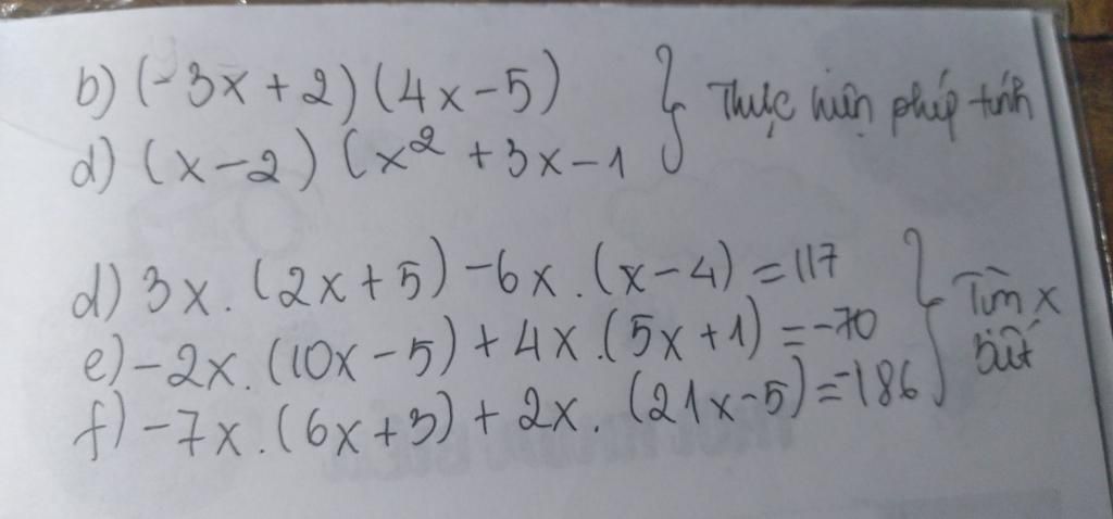
`b)`
`(-3x+2)(4x-5)`
`=(-3x.4x) + (-3x.-5)+(2.4x)+(2.-5)`
`=-12x^2 +15x+8x-10`
`=-12x^2 +23x-10`
`c)`
`(x-2)(x^2 +3x-1)`
`=(x.x^2) + (x.3x) + (x.-1) + (-2.x^2) + (-2.3x) + (-2.-1)`
`=x^3 +3x^2 -x -2x^2 -6x+2`
`=x^3 + x^2 -7x+2`
`d)`
`3x(2x+5)-6x(x-4)=117`
`<=>6x^2 +15x -6x^2 +24x =117`
`<=> 39x = 117`
`<=> x = 3`
Vậy `x=3`.
`e)`
`-2x(10x-5)+4x(5x+1)=-70`
`<=>-20x^2 +10x +20x^2 +4x=-70`
`<=>14x=-70`
`<=>x=-5`
Vậy `x=-5`.
`f)`
`-7x(6x+3)+2x(21x-5)=-186`
`<=>-42x^2 -21x + 42x^2 - 10x = -186`
`<=> -31x = -186`
`<=>x = 6`
Vậy `x=6`.
Hãy giúp mọi người biết câu trả lời này thế nào?
Bảng tin