Vui lòng chỉ chọn một câu hỏi
Hoidap247.com Nhanh chóng, chính xác
+
Danh mục mới
0
Hãy luôn nhớ cảm ơn và vote 5* nếu câu trả lời hữu ích nhé!
1033
5422
696
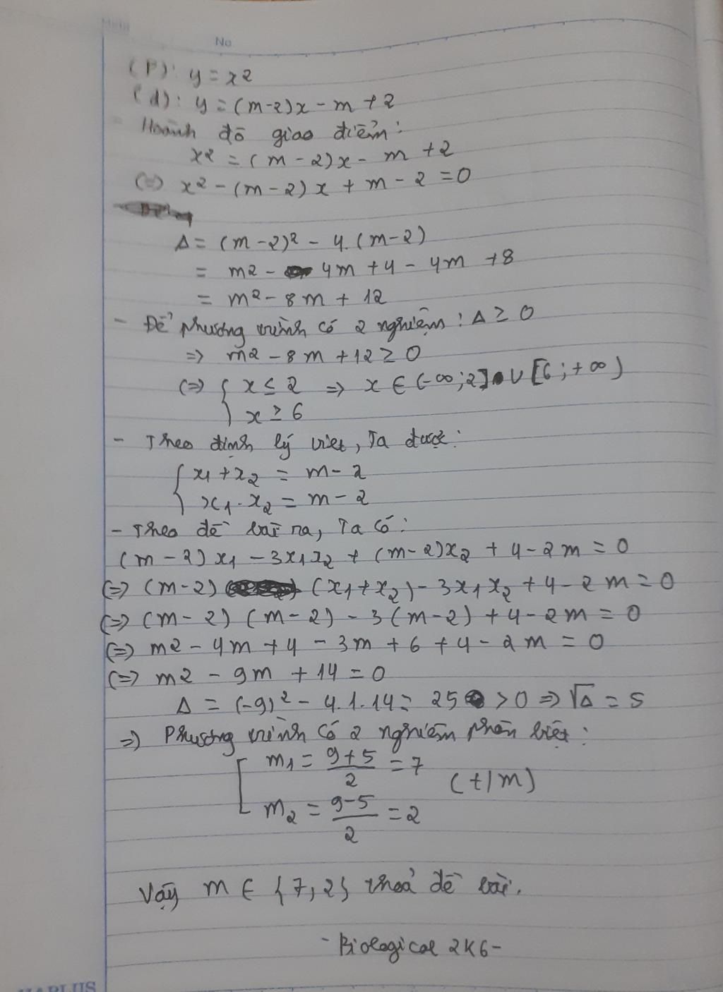
Đáp án:
`m∈{7,2}`
Giải thích các bước giải:
Hãy giúp mọi người biết câu trả lời này thế nào?
Xem thêm:
Bảng tin
Gửi yêu cầu Hủy