

Hãy luôn nhớ cảm ơn và vote 5*
nếu câu trả lời hữu ích nhé!
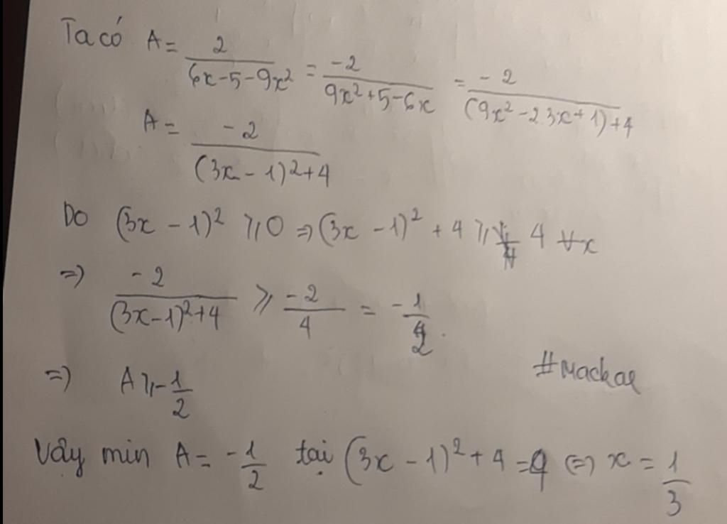
Ta có: `A= 2/(6x - 5 -9x^2)`
`=> A = (-2)/(9x^2 - 6x + 5)`
`=> A = (-2)/(9x^2 - 6x +1 + 4)`
`=> A =(-2)/((3x - 1)^2 +4)`
Vì `(3x - 1)^2 \ge 0 AAx`
`=> (3x -1)^2 + 4 \ge 4`
`=> 1/((3x -1)^2 +4) \le 1/4`
`=> (-2)/((3x -1)^2 +4) \ge (-2)/4`
`=> A \ge -1/2`
Dấu "`=`" xảy ra `<=> (3x -1)^2 = 0`
`<=> 3x -1 = 0`
`<=> x =1/3`
Vậy GTNN của `A` là `-1/2 <=> x =1/3`
$#duong612009$
Hãy giúp mọi người biết câu trả lời này thế nào?
Bảng tin