Vui lòng chỉ chọn một câu hỏi
Hoidap247.com Nhanh chóng, chính xác
+
Danh mục mới
22
495
40
Hãy luôn nhớ cảm ơn và vote 5* nếu câu trả lời hữu ích nhé!
76
2084
21
Đáp án:
mấy cái này cô lớp mình có dạy nếu thiếu thị bạn cứ nói nha
Hãy giúp mọi người biết câu trả lời này thế nào?
Nếu khi nào còn dạng mới cho mik xin thêm nhé
umk
Xem thêm:
1251
22069
696
Cho mk gửi.
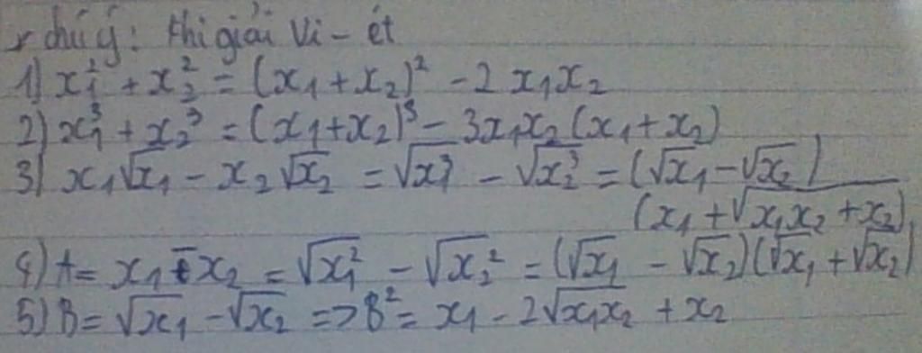
Một số biến đổi, biết có vài cái mấy nên thông cảm ạ.
Bảng tin
Gửi yêu cầu Hủy
22
495
40
Nếu khi nào còn dạng mới cho mik xin thêm nhé
76
2084
21
umk